Студопедия

КАТЕГОРИИ:


Архитектура-(3434)Астрономия-(809)Биология-(7483)Биотехнологии-(1457)Военное дело-(14632)Высокие технологии-(1363)География-(913)Геология-(1438)Государство-(451)Демография-(1065)Дом-(47672)Журналистика и СМИ-(912)Изобретательство-(14524)Иностранные языки-(4268)Информатика-(17799)Искусство-(1338)История-(13644)Компьютеры-(11121)Косметика-(55)Кулинария-(373)Культура-(8427)Лингвистика-(374)Литература-(1642)Маркетинг-(23702)Математика-(16968)Машиностроение-(1700)Медицина-(12668)Менеджмент-(24684)Механика-(15423)Науковедение-(506)Образование-(11852)Охрана труда-(3308)Педагогика-(5571)Полиграфия-(1312)Политика-(7869)Право-(5454)Приборостроение-(1369)Программирование-(2801)Производство-(97182)Промышленность-(8706)Психология-(18388)Религия-(3217)Связь-(10668)Сельское хозяйство-(299)Социология-(6455)Спорт-(42831)Строительство-(4793)Торговля-(5050)Транспорт-(2929)Туризм-(1568)Физика-(3942)Философия-(17015)Финансы-(26596)Химия-(22929)Экология-(12095)Экономика-(9961)Электроника-(8441)Электротехника-(4623)Энергетика-(12629)Юриспруденция-(1492)Ядерная техника-(1748)

Время охлаждения сердцевины

 

нагрела npozpeвa выдержки

 

Рис. 2. График температурного режима печного прост­ранства 1, поверхности 2 и сердцевины 3 изделия


 

 

 

Время
Время

 

 

Рис. 3. Примеры многостадийных режимов термообработки: 1 – нагрев; 2 – выдержка; 3 – охлаждение

 

Для определения других параметров процесса термообработки
составляют другие температурные графики. Так, для анализа из­менения температурного состояния по сечению изделия или садки составляют два графика: один показывает температуру поверхно­сти 2 изделия или садки, а другой — их сердцевины 3 (рис.2).
Сопоставляя эти графики, выявляют температурный градиент по сечению изделия или садки. Для регулирования и контро­ля воздействующих парамет­ров термообработки составля­ют график температурного режима рабочего пространства оборудования 1.

Температурные режимы могут быть одно- и многостадий­ными (рис. Н.3,а, б). В мно­гостадийных режимах большое значение имеет скорость пере­хода от одной температурной ступени к другой. Указанные режимы могут отражать температурное изменение изделий в рам­ках одной операции или одной стадии, например патентирования, либо группы взаимосвязанных операций, например поверхностной закалки с самоотпуском (см. рис. П. 1,6) и др.

 

3. НАГРЕВ, ВЫДЕРЖКА И ОХЛАЖДЕНИЕ

Нагрев при термообработке основан либо на трансформиро­вании электроэнергии в теплоту непосредственно в самом изделии, либо на передаче теплоты изделию из внешнего ее источника. Отсюда и выделение двух принципиально различных способов нагрева: непосредственного и косвенного.

При непосредственном нагреве изделие включают в электри­ческую цепь или помещают в переменное магнитное поле, которое индуцирует в металле вихревые токи, в результате чего происхо­дит нагрев. При

 

косвенном нагреве источник теплоты находится вне изделия. Тепловая энергия из внешнего (рабочего) простран­ства передается к поверхности изделий и за счет теплопроводно­сти внутрь изделий.

Источником теплоты при косвенном способе могут быть продук­ты сжигания топлива, раскаленные стенки и свод печи, электрона­греватели, радиантные трубы, нагретые газовые или жидкие сре­ды (расплавы) и т. д.

Температура нагрева характеризует внутреннюю энергию изделия (садки). Каждая термическая операция может выполняться в довольно широком температурном диапазоне, например цемента­ция— от 900 до 1100 °С. Допуск на температуру является резервом для оптимизации и интенсификации обработки. Выбор преимуще­ственных температур (рис. II.4) в рамках установленного диапа­зона зависит от специфики процесса, экономических соображений и местных условий.

Температуру закалки сталей и сплавов, как правило, устанав­ливают в соответствии с положением критических точек; в ряде случаев она определяется растворимостью избыточных (карбид­ных или интерметаллидных) фаз в матричном твердом растворе.

Температуру рекристаллизационного отжига определяют в соответствии с температурой начала и конца рекристаллизации деформированного металла. Температуру отпуска устанавливают на основе зависимостей изменения свойств закаленной стали при ее нагреве.

Для примера на рис. 4 приведены области температур нагре­ва изделий в различных термических операциях.

Из-за того, что скоростной нагрев в установках ТВЧ при по­верхностной закалке оставляет мало времени на диффузионные превращения исходной структуры в аустенит, для такой обработ­ки устанавливают более высокую температуру нагрева (примерно на 50 °С), чем при обычной закалке.

Многие высоколегированные стали с целью получения более однородного аустенита, повышения его стабильности и растворе­ния избыточных фаз нагревают до еще более высоких температур. В этих условиях подстуживание изделий становится менее опас­ным, что позволяет производить закалку в менее резких охладителях, несмотря на малую устойчивость переохлажденного аустенита.

Высокотемпературные режимы часто используют с целью ус­корения процесса и повышения производительности. Так, если слой цементации толщиной 1 мм при температуре 930°С получают за 7—9 ч, то при температуре 1050—1100 °С — всего за 0,8—1,1 ч.

 

 

 

 

Рис. 4. Интервалы температур термических операций для сталей с различным содержанием углерода

 

Для многих распространенных операций — отжига, нормализа­ции, закалки и др. — температурный режим аустенизации устанав­ливают на 30—100°С выше по­ложения критических точек.

Наследственно мелкозерни­стые стали могут нагреваться до более высоких температур без опасности получения крупно­игольчатого мартенсита.

Происходящие в нагретом сплаве фазовые превращения, растворение карбидов и интерметаллидов являются диффузи­онными процессами и протекают относительно медленно, поэтому для их завершения необходима определенная выдержка. Вы­держка также необходима для прогрева или охлаждения изде­лия или садки по сечению. - Время выдержки зависит от различных факторов. Так, при аустенитизации оно определяется составом сплава и скоростью фазовых превращений. На каждый миллиметр толщины сечения после нагрева устанавливают выдержку обычно продолжительно­стью 1 мин. С увеличением легированности сплава для растворе­ния специальных карбидов в аустените время выдержки увеличи­вают до 2 мин на каждый миллиметр сечения. При цементации и нитроцементации время выдержки определяется температурой, глубиной слоя и составом активной среды, причем с увеличением толщины слоя время возрастает в прогрессии.

Охлаждение для многих термических операций является определяющей стадией, от хода которой зависит получение требу­емой структуры и заданных свойств. Исходными факторами для установления

режима охлаждения при закалке, обработке холодом и т. д. является закономерность распада переохлажденного и ос­таточного аустенита. При этом график фактического охлаждения устанавливают по характеристикам распада. Для соблюдения бо­лее точного режима целесообразно пользоваться термокинетичес­кими диаграммами, учитывающими смещение температуры распа­да аустенита при непрерывном охлаждении. Диаграммы изотермического распада аустенита отражают инкубационный период и скорость превращений аустенита при постоянной температуре и пригодны главным образом для установления температуры изо­термических процессов и отжига с весьма медленным охлаждением изделий.

Охлаждение производится за счет отвода теплоты от нагретых изделий во внешнюю среду — охладитель, разные виды которого обеспечивают различную скорость охлаждения.

Для повышения равномерности охлаждения по сечению стадию охлаждения расчленяют на подстанции, например на подстадию охлаждения поверхности изделия и подстадию охлаждения серд­цевины.

В резко различных по размеру сечениях изделий сложной кон­фигурации одинаковой структуры как результата термической об­работки достигают путем подбора скоростей охлаждения для каж­дого из сечений.

 

4. ДЛИТЕЛЬНОСТЬ НАГРЕВА И ОХЛАЖДЕНИЯ

 

Чем меньше масса и проще форма изделий, чем меньше содер­жание в стали легирующих элементов, чем однороднее ее макро-и микроструктура, тем более высокие скорости могут применяться.

При нагреве ответственных и сложных по форме изделий с уче­том склонности металла к возникновению опасных напряжений ре­комендуется нагрев производить с подогревами, а охлаждение — с подстуживаниями. При этом подогревы часто осуществляют до температуры 600 °С, т. е. ниже температуры интенсивного окалино-образования, но выше температуры возможного охрупчивания.

Ряд термических операций в силу своей природы требует ско-
ростного нагрева, например для обеспечения температурного пере­
пада по сечению изделия приповерхностной закалке.

Существенное влияние на скорость и равномерность нагрева и охлаждения оказывает один из определяющих технологических фак­торов — коэффициент формомассы изделия, выражаемый отноше­нием S/V, где S — общая активная поверхность изделия или садки; V — объем того же изделия или садки. Коэффициент формомассы характеризует степень восприимчивости изделия (садки) к техно­логическому воздействию: при одинаковой интенсивности энерге­тического воздействия и одинаковых теплопроводности и темпера­туропроводности металла изделие или садка с меньшим коэффици­ентом формомассы нагреваются и охлаждаются медленнее. Например, шар как тело, имеющее минимально возможную пло­щадь поверхности, будет нагреваться и охлаждаться медленнее тонкой пластины той же массы, но обладающей большим коэффи­циентом формомассы. Однако при термообработке изделий сложной конфигурации с участками, сильно отличающимися друг от друга формой и массой,

определить коэффициент формомассы изделия в целом бывает за­труднительно. Поэтому на основе коэффициентов вначале для каж­дого участка простой формы определяют скорости их нагрева и охлаждения, температурные перепады между ними, а затем по максимальным и минимальным значениям коэффициентов уста­навливают режим термообработки всего изделия.

Поскольку в изделии сложной формы трудно выявить все по­верхности и размеры, в основном определяющие общий коэффици­ент формомассы, некоторые вводят другие коэффи­циенты, учитывающие размеры, массу и отношение поверхности к массе. Например, влияние формы и объема изделия (садки) мож­но учитывать величиной произведения характеристического разме­ра s (рис. 5) на коэффициент формы изделия k (табл .1).

 

Рис.5. Характеристический размер некоторых деталей

Таблица 1

Нагрев изделий партиями. Большинство операций термообра­ботки производят групповыми способами, т. е. изделия загружа­ют садками или передаточными партиями. Теплопередача в садке зависит от числа и взаимного расположения изделий. В большой садке, состоящей из изделий сложной конфигурации при нерегламентированной их раскладке (навалом), весьма сложно выявить общий коэффициент формомассы и точно определить скорость на­грева и охлаждения. Большие сложности возникают также при определении скорости изменения температуры садки при плотной раскладке большого числа изделий, так как в ней образуются неподвижные прослойки печной атмосферы. Это может быть, на­пример, стопа тонких листов, моток проволоки, рулон тонкой лен­ты.

 

Факторы, определяющие время и равномерность нагрева и ох­лаждения таких садок, разнообразны, и их так много, что опре­делить характер изменения температуры во времени посредством расчета не представляется возможным; его можно выявить только опытным путем.

Методика приближенных расчетов разработана пока лишь для садок из простых по форме изделий, при несложной их укладке — в один или в несколько небольших рядов с соблюдением значи­тельных расстояний между изделиями и без учета отрицательного действия неподвижных прослоек среды (рис. 6).

 

Рис. 6. Зависимость фактора раскладки от формы изделия и их расположения в печи: s – характеристический размер

 

Продолжительность нагрева в этих условиях определяется по формуле

 

τ = skfLw

где f — фактор раскладки (его значение в зависимости от распо­ложения изделий в печи даны на рис. 6); Lw — коэффициент ле­гирования стали, значения которого приведены в табл. 2.

При просторной раскладке изделий в садке благодаря дейст­вию теплового излучения и циркуляции среды между изделиями значительно ускоряется нагрев, что во многих случаях может превысить удельную производительность по сравнению с обработкой изделий плотными садками.

Методы расчета. Расчеты времени нагрева необходимы для ус­тановления норм, определения температурных режимов при пере­ходе на обработку другой номенклатуры изделий, при разработке новых конструкций печей и других видов термического оборудо­вания.

При расчете анализируется главным образом теплообмен меж­ду рабочим пространством оборудования и садкой. При этом пере­дача теплоты как к поверхности садки, так и внутрь ее происходит обычно за счет одновременно действующих различных видов теп­лообмена.

В применяемых в настоящее время инженерных методах рас­чета используют упрощенную модель системы, в которой тепло­обмен происходит между печью (внешним источником теплоты с заданными температурой и тепловым потоком) и садкой. Садку условно представляют одномерным телом, распространение тепло­ты в котором определяют по наиболее характерному ее размеру, чаще по толщине.

 

 

Точные расчеты требуют большого количества информации по взаимодействующим факторам и выполняются на основе матема­тического моделирования с использованием ЭВМ.

Изделия из углеродистых и даже легированных сталей часто нагревают с большими скоростями. Например, для штучных изде­лий из углеродистых сталей, нагреваемых в печах до температуры 800—1000°С, ориентировочно устанавливают время нагрева, исхо­дя из следующего соотношения: 0,6—1,2 мин на 1 мм сечения (толщины пластины, диаметр цилиндра). Для легированных сталей время увеличивается на 40—70 %..

При нагреве в расплаве солей время сокращается в 2—3 раза, в расплавленном свинце — в 3—5 раз.

Время нагрева рассчитывают по уравнениям, учитывающим значение энергетического потенциала сечения изделия. Сопротивле­ние тепловому потоку от внешней среды к поверхности изделия (сопротивление внешнего порядка) обратно пропорционально ко­эффициенту теплоотдачи α, Вт/(м2-К). Сопротивление потоку внутри изделия (сопротивление внутреннего порядка) прямо про­порционально определяющему размеру (расстоянию от самой го­рячей до самой холодной точек сечения) изделия s, м, и обратно пропорционально коэффициенту теплопроводности λ, Вт/(м-К). Отношение внутреннего теплового сопротивления к внешнему пред­ставляет собой критерий (число) Био:

Bi = αs/λ

Если Bi<0,25, то тела считают тонкими; если Bi>0,5, то тела массивные (садки). Промежуток 0,25<Bi<0,5 является переход­ной областью, которую можно относить к области массивных тел, но при этом можно пользоваться методами расчета нагрева тонких тел.

При незначительном сечении изделий (тонкие тела) их внут­реннее сопротивление мало и нагрев определяется в основном внеш­ним тепловым потоком. При обработке изделий больших сечений (массивные тела) внутреннее сопротивление возрастает и нагрев замедляется.

Кроме указанных соображений при решении вопроса, являются ли изделия тонкими или массивными, большое значение имеет температурный градиент по их сечению. Если при скоростном на­греве тонких изделий образуется значительный градиент, то рас­считывать нагрев таких изделий нужно, как для массивных. И наоборот, при очень медленном нагреве у массивных изделий мо­жет получиться незначительный перепад температур по сечению, что дает возможность относить их к категории тонких.

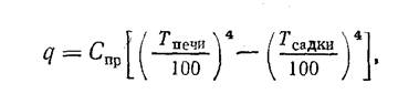
При нагреве до высоких температур уравнение теплопередачи имеет вид:

 

 

 

где q — плотность теплового потока, Вт/м2; Спр — приведенный ко­эффициент излучения, Вт/(м24); Тпеча, Тсадки — текущие значе­ния температуры печи и садки, К.

Значения плотности потока при нагреве в низкотемператур­ном интервале определяют по формуле

 

где α— коэффициент теплоотдачи.

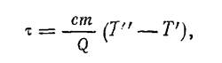
Нагрев тонких тел. При стабильном тепловом потоке Q продол­жительность нагрева или охлаждения тонких тел равна

с — удельная теплоемкость металла при средней за время про-­
цесса температуре, Дж/(кг-К); m — масса металла, кг; Т" — ко­-
нечная температура нагрева или начальная температура охлажде­-
ния, °С; Т' — начальная температура нагрева или конечная темпе­-
ратура охлаждения, °С.

Нагрев массивных тел (садок). В массивных садках сопротив­ление теплового потока от поверхности вглубь, а также перепады температуры по сечению существенно влияют на характер тепло­вого потока и на длительность нагрева. При нагреве и охлаждении массивной садки в условиях постоянной температуры рабочего пространства используют графики зависимостей скоростей нагрева от формы, массы изделий.

Заслуживает также внимания упрощенный метод определения скоростей нагрева, предложенный А. П. Гуляевым, который учиты­вает совокупность таких технологических факторов, как геометрия изделий, характер внешней среды и равномерность теплового по­тока. При этом расчет ведут по формуле

 

τ = 0,1Dk1k2k3

где τ — время нагрева, мин; D — геометрическая характеристика (наименьший размер сечения) изделия, мм; k1, k 2, k3 — коэффици­енты

формы среды и способа нагрева соответственно, значения которых для некоторых случаев даны ниже:

 

Время нагрева изделий сложной формы часто устанавливают по длительности прогрева наиболее массивного сечения, которые нередко выполняют второстепенные функциии при эксплуатации. Это может привести к тому, что участки, несущие основную нагрузку могут иметь низкие показатели прочности.

 


 

<== предыдущая лекция | следующая лекция ==>
Температурный режим термической обработки | Физической культуры. Формирование здоровьесберегающей профессиональной деятельности студентов и специалистов в системе
Поделиться с друзьями:


Дата добавления: 2014-01-03; Просмотров: 619; Нарушение авторских прав?; Мы поможем в написании вашей работы!


Нам важно ваше мнение! Был ли полезен опубликованный материал? Да | Нет



studopedia.su - Студопедия (2013 - 2026) год. Все материалы представленные на сайте исключительно с целью ознакомления читателями и не преследуют коммерческих целей или нарушение авторских прав! Последнее добавление




Генерация страницы за: 0.015 сек.