Студопедия

КАТЕГОРИИ:


Архитектура-(3434)Астрономия-(809)Биология-(7483)Биотехнологии-(1457)Военное дело-(14632)Высокие технологии-(1363)География-(913)Геология-(1438)Государство-(451)Демография-(1065)Дом-(47672)Журналистика и СМИ-(912)Изобретательство-(14524)Иностранные языки-(4268)Информатика-(17799)Искусство-(1338)История-(13644)Компьютеры-(11121)Косметика-(55)Кулинария-(373)Культура-(8427)Лингвистика-(374)Литература-(1642)Маркетинг-(23702)Математика-(16968)Машиностроение-(1700)Медицина-(12668)Менеджмент-(24684)Механика-(15423)Науковедение-(506)Образование-(11852)Охрана труда-(3308)Педагогика-(5571)Полиграфия-(1312)Политика-(7869)Право-(5454)Приборостроение-(1369)Программирование-(2801)Производство-(97182)Промышленность-(8706)Психология-(18388)Религия-(3217)Связь-(10668)Сельское хозяйство-(299)Социология-(6455)Спорт-(42831)Строительство-(4793)Торговля-(5050)Транспорт-(2929)Туризм-(1568)Физика-(3942)Философия-(17015)Финансы-(26596)Химия-(22929)Экология-(12095)Экономика-(9961)Электроника-(8441)Электротехника-(4623)Энергетика-(12629)Юриспруденция-(1492)Ядерная техника-(1748)

Налоговая система и ее структура

Налоговая система представляет собой единую совокуп­ность однородных элементов, объединенных в единое целое и вы­полняющих единую задачу - изъятие налогов и сборов с субъек­тов налога в соответствующие бюджеты и внебюджетные фонды территориальных образований.

Налоговую систему любого государства можно рассматри­вать как законодательно принятую в государстве совокупность налогов и сборов, изымаемых соответствующими органами с субъектов налога (налогоплательщиков).

К налоговой системе, как и иной другой системе, предъяв­ляется ряд требований, которым она должна удовлетворять.

Требования, предъявляемые к налоговой системе, являют­ся признаками (критериями), характеризующими ее оптималь­ность и эффективность функционирования. К основным требо­ваниям, характеризующим налоговую систему, можно отнести следующие:

- рациональность;

- оптимальность;

- минимизацию количества элементов, составляющих на­логовую систему;

- справедливость, в том числе социальную справедливость распределения налогового бремени;

- простоту исчисления налогов;

- доступность и понимаемость налогообложения налого­плательщиками;

- экономичность;

- эффективность и др.

Налоговая система должна быть рациональной системой с единой законодательной базой налогообложения в пределах всего экономического пространства государства, с правовым ме­ханизмом регулирования всех ее элементов и минимальным ко­личеством нормативных документов, регулирующих и опреде­ляющих порядок взимания (изъятия, уплаты) платежей (нало­гов, сборов, пошлин) и контролем за их уплатой в соответствую­щие бюджеты: федеральный, региональный и местный.

Рациональность означает разумную обоснованность с точки зрения целесообразности налоговой системы для данного госу­дарства. В настоящее время налоговая система России, с точки зрения структуры (элементов системы), представлена:

- Министерством по налогам и сборам (МНС) с его регио­нальными и местными подразделениями;

- Министерством финансов РФ (в котором имеется налого­вое управление);

- Федеральной службой налоговой полиции (ФСНП) и ее региональными и местными подразделениями;

- Государственным таможенным комитетом (ГТК) с его ре­гиональными и местными подразделениями;

- органами государственных внебюджетных фондов и их региональными и местными подразделениями и другими госу­дарственными структурами.

Всего в налоговой системе России задействовано 180 тыс. сотрудников на 140 млн. граждан РФ, так что в среднем на од­ного налогового служащего приходится 780 граждан России.

Приведенное количество министерств и ведомств, не подчи­ненных друг другу, занимающихся налоговой сферой, не делает налоговую систему централизованной, с единым органом управ­ления и минимальным количеством руководящих работников, что существенно влияет на эффективность собираемости нало­гов, величина которых в период с 1993 по 2000 г. г. колебалась от 45 до 70 % по отношению к планируемой (расчетной) сумме собираемости налогов.

Анализ налоговых систем зарубежных стран свидетельст­вует следующее:

- в США в сфере налогообложения занят единый орган - Служба внутренних доходов с ее региональными и окружными управлениями, насчитывающая в своем составе 120 тыс. служа­щих на 250 млн. граждан, так что в среднем на одного налогового служащего приходится 2100 граждан. Налоговая служба США при этом обеспечивает собираемость платежей на уровне 95-98% от плановых показателей;

- в Великобритании сбор налогов возложен на единую службу, насчитывающую 100 тыс. служащих на 65 млн. населе­ния, что составляет 750 граждан на одного налогового служаще­го, при этом собираемость налогов обеспечивается на уровне 98% от расчетных показателей;

- во Франции сборами налогов занимается Главное налого­вое управление Министерства экономики, финансов и бюджета, насчитывающее около 83 тыс. налоговых служащих на 63 млн. граждан (на одного налогового служащего приходится 750 граждан), обеспечивающих собираемость налогов на уровне 96-98% от расчетных.

Требование рациональности системы позволяет оптимизи­ровать структуру системы, минимизировать расходы на ее содержание и оснащение средствами автоматизации процессов сбора, учета, обработки и хранения налоговой информации. Критериями требования рациональности системы могут выступать:

- Количество налогоплательщиков или общее количество граждан государства, приходящихся на одного налогового слу­жащего. Критерий является сравнительным по отношению к аналогичным налоговым системам других государств или тер­риториальных образований своего государства. Критерий поз­воляет проанализировать систему и выявить наиболее целесооб­разные варианты системы, их эффективность по собираемости платежей, наметить направления и пути совершенствования си­стемы, в том числе применить современную вычислительную технику и унифицировать алгоритмы расчетов.

- Общее количество налоговых служащих, необходимых для охвата контролем всех налогоплательщиков. Критерий ва­жен с точки зрения оптимизации структуры системы в целом или различных ее элементов (звеньев) в интересах построения целесообразной единой системы с единым централизованным управлением.

В рациональной системе с единым централизованным управ­лением действует единая законодательная и нормативная база с минимальным или оптимально-необходимым количеством до­статочно четких, понятных и доступных для понимания и расче­тов нормативных документов, регулирующих налоговые отноше­ния и не дублирующих налоговый и таможенный кодексы, а лишь разъясняющих их отдельные положения. Достаточно от­метить, что в настоящее время в системе налогообложения дейст­вует более 900 инструкций, писем и указаний, зачастую дублиру­ющих и противоречащих друг другу, и это при том, что сам нало­говый кодекс напечатан убористым текстом на 750 страницах.

Засилье в системе налогообложения министерств и ве­домств, не подчиненных друг другу, порождает огромное коли­чество издаваемых документов, приводящих к непониманию налогового законодательства и неверному исчислению налогов.

Налоговая система должна носить стабильный характер на протяжении определенного периода времени. Стабильность подразумевает, что в налоговое законодательство не должны вводиться новые налоги (сборы), вноситься изменения и допол­нения, в том числе в налоговую базу и налоговые ставки, особенно в сторону их увеличения, что приводит к ухудшению поло­жения налогоплательщиков и усугубляет противоречие между властью и гражданами. Период стабильности должен по продол­жительности сохраняться минимально, хотя бы в течение одно­го срока работы законодательного собрания государства (терри­ториального образования).

Критерием стабильности налоговой системы может слу­жить коэффициент стабильности Кст, характеризуемый выра­жением:

(1.1)

где Дн — доход или материальное положение налогопла­тельщика после внесения изменений в налоговое законодатель­ство;

Дс — доход или материальное положение налогоплательщи­ка до внесения изменений в налоговое законодательство.

Коэффициент стабильности характеризует относительное ухудшение или улучшение материального положения налогопла­тельщика в связи с изменениями налогового законодательства.

При Кст > 1 – мажоритарное положение налогоплательщи­ка не изменяется или улучшается,

При Кст < 1 ухудшается и усугубляется противоречие меж­ду властью и налогоплательщиком.

Требование стабильности подразумевает, что в налоговой системе должно быть определено и закреплено определенное ко­личество и структура налогов на определенное время, что ис­ключит внесение поправок, изменений и дополнений или новых налогов на определенный в законе период времени. Нестабиль­ность налогового законодательства не только усугубляет проти­воречие между властью и субъектами налога, но порождает ме­ханизмы сокрытия доходов, ухода от их уплаты, что делает на­логовую систему малоэффективной.

Налоговое законодательство должно предусматривать ми­нимально возможное количество платежей (налогов, сборов, по­шлин). Требование означает, что количество платежей должно быть сведено до минимума и предусматривать снижение налого­вого бремени или предусматривать замены всех видов налогов единым налогом на доход, что будет означать упрощение системы налогообложения, сделает систему понятной, доступной, простой, прозрачной, контролируемой и эффективной по соби­раемости налогов и простой по организационной структуре.

Однако уменьшение числа налогов или введение единого налога не во всех случаях приведет к улучшению материально­го положения субъектов налога, а наоборот, может ухудшить их положение. Все зависит от вводимых налоговых ставок. Вместе с тем требование предусматривает упрощение исчисления нало­гов, повышение контроля за уплатой налогов, оптимизацию по­строения рациональной и эффективной по собираемости нало­гов системы.

Принятие нового налогового кодекса РФ хотя и уменьшило число налогов на экономическом пространстве России до 28 видов налогов (16 федеральных, семь региональных и пять местных), но по своей сути налоговая система осталась грабительской по от­ношению к субъекту налога, сложной для понимания, и, главное, малоэффективной, не рациональной и не экономичной. Система осталась многоуровневой как по законодательной базе, так и по исчислению платежей: трехуровневой по законодательной ба­зе и трехуровневой по уплате платежей.

Анализ налоговых систем зарубежных стран свидетельст­вует, что количество налогов в них несколько меньше в сравне­нии с налоговой системой России, упрощена и схема исчисле­ния налогов, но сами системы также сложны. Например, в США действует около 20 налогов и сборов, во Франции - 26, в Герма­нии - 13, в Японии - 10.

Налоговая система должна носить справедливый распреде­лительный характер налогового бремени по отношению ко всем субъектам налога. Требование означает, что все налогоплатель­щики должны иметь одинаковые права и нести одинаковые обя­занности на всем экономическом пространстве государства. С этой точки зрения в налоговом законодательстве не должно быть льготных режимов для отдельных граждан, групп лиц или территорий. Требование означает, что в государстве не должно быть оффшорных, свободных и иных зон, обладающих льготным налогообложением. Установление льготного налогообложения для отдельных зон и режимов, для отдельных территорий носит чисто дискриминационный характер в отношении не только от­дельных субъектов налога, что противоречит Конституции РФ, но и в отношении целых территорий, ставя граждан в неравные условия на едином экономическом пространстве государства.

Налоговая система должна быть социально справедливой, сглаживать несправедливое распределение богатств (доходов) и своевременно благоприятно сказываться на росте капиталов.

Требование означает, что распределение налогового бреме­ни между субъектами налога должно учитывать уровень доход­ности каждого из них и строиться с учетом принципов:

- каждый субъект налога должен отдавать часть своего до­хода государству для выполнения последним своих функций пе­ред обществом, то есть нести свои обязанности перед государст­вом в соответствии с конституцией;

- субъект налога должен отдавать только часть своего дохо­да из той его части, которая превышает семейный прожиточный минимум;

- более богатый субъект налога должен нести большее бре­мя налогов, то есть более богатый должен отдать государству и большую часть своего дохода в сравнении с малоимущим.

Налоговая система должна быть экономичной по своему ор­ганизационно-структурному построению и эффективной по со­бираемости налогов в соответствующий бюджет территориаль­ного образования: федеральный, региональный, местный.

Если нет компромиссного решения в вопросах построения экономичной по организационно-структурному принципу сис­темы и ее эфективностью, то в любом случае она должна удов­летворять принципу оптимальности или экономической целе­сообразности как для государства, так и для субъекта налога, в том числе с точки зрения эффективности управления систе­мой в целом.

Критерием экономичности системы может выступать коэф­фициент экономичности Кэк, определяемый отношением об­щих расходов на содержание и обеспечение всех элементов предполагаемой или вновь создаваемой структуры налоговой системы к аналогичным расходам существующего варианта си­стемы:

(1.2)

где Дпр – общие расходы на содержание и обеспечение пред­полагаемой налоговой системы;

До – общие расходы на содержание и обеспечение существу­ющей налоговой системы.

Если Кэк > 1, то налоговая система для государства целесо­образна и экономически выгодна, при Кэк=1 ~ обе системы равноодинаковы, при Кэк < 1 – система менее рациональна и эконо­мична и нет надобности ее менять.

При всех равных условиях разных вариантов систем крите­рием экономичности налоговой системы может выступать коэф­фициент собираемости налогов в соответствующий территори­альный бюджет Кс, способный обеспечить выполнение стоящих перед системой задач (функций):

(1.3)

где Др – реально собираемая сумма налогов, поступающая в бюджет соответствующего территориального образования за отчетный период;

Дпл – планируемая, или расчетная сумма налоговых плате­жей в бюджет соответствующего территориального образования за аналогичный отчетный период;

(1.4)   (1.5)  
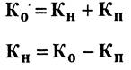
Кн – коэффициент, характеризующий ту часть поступле­ний в соответствующий бюджет территориального образования, которая необходима для выполнения задач (функций) данным территориальным образованием:

где К0 – общая часть (сумма) бюджета территориального об­разования, необходимая ему для решения задач в полном объе­ме перед обществом, принимаемая за 100%;

Кп – часть (сумма) бюджета территориального образова­ния, формируемая за счет налоговых поступлений.

Выполнение условия Кс ³ Кн характеризует систему с точ­ки зрения стабилизирующего фактора в обществе - такая систе­ма будет сглаживать противоречия между властью и субъектом налога, служить росту государства и благосостояния малообес­печенных слоев населения.

На экономичность, оптимальность и эффективность нало­говой системы значительно влияют издержки (расходы) на со­держание элементов системы, которые должны быть сведены до минимума или оптимизированы, но не за счет минимизации заработной платы служащим налоговой сферы, а за счет опти­мизации организационной структуры самой налоговой системы (сокращения налоговых органов, сведения их к единому налого­вому органу с минимально необходимым количеством налого­вых служащих, в том числе руководящих работников, автома­тизации процессов сбора, обработки, хранения налоговой ин­формации и контроля за собираемостью налогов).

 

<== предыдущая лекция | следующая лекция ==>
Элементы и структура налогов | Принципы налогообложения
Поделиться с друзьями:


Дата добавления: 2014-01-03; Просмотров: 892; Нарушение авторских прав?; Мы поможем в написании вашей работы!


Нам важно ваше мнение! Был ли полезен опубликованный материал? Да | Нет



studopedia.su - Студопедия (2013 - 2026) год. Все материалы представленные на сайте исключительно с целью ознакомления читателями и не преследуют коммерческих целей или нарушение авторских прав! Последнее добавление




Генерация страницы за: 0.025 сек.