Студопедия

КАТЕГОРИИ:


Архитектура-(3434)Астрономия-(809)Биология-(7483)Биотехнологии-(1457)Военное дело-(14632)Высокие технологии-(1363)География-(913)Геология-(1438)Государство-(451)Демография-(1065)Дом-(47672)Журналистика и СМИ-(912)Изобретательство-(14524)Иностранные языки-(4268)Информатика-(17799)Искусство-(1338)История-(13644)Компьютеры-(11121)Косметика-(55)Кулинария-(373)Культура-(8427)Лингвистика-(374)Литература-(1642)Маркетинг-(23702)Математика-(16968)Машиностроение-(1700)Медицина-(12668)Менеджмент-(24684)Механика-(15423)Науковедение-(506)Образование-(11852)Охрана труда-(3308)Педагогика-(5571)Полиграфия-(1312)Политика-(7869)Право-(5454)Приборостроение-(1369)Программирование-(2801)Производство-(97182)Промышленность-(8706)Психология-(18388)Религия-(3217)Связь-(10668)Сельское хозяйство-(299)Социология-(6455)Спорт-(42831)Строительство-(4793)Торговля-(5050)Транспорт-(2929)Туризм-(1568)Физика-(3942)Философия-(17015)Финансы-(26596)Химия-(22929)Экология-(12095)Экономика-(9961)Электроника-(8441)Электротехника-(4623)Энергетика-(12629)Юриспруденция-(1492)Ядерная техника-(1748)

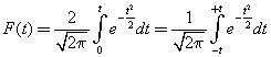
Функция Лапласа. При разных значениях t; F(–t) = –F(t) (функция нормального распределения)




При разных значениях t; F(–t) = –F(t) (функция нормального распределения).

Таблица значений функции Лапласа

t F(t)
0.00 0.00000
0.01 0.00798
0.02 0.01596
0.03 0.02393
0.04 0.03191
0.05 0.03988
0.06 0.04784
0.07 0.05581
0.08 0.06376
0.09 0.07171
0.10 0.07966
0.11 0.08759
0.12 0.09552
0.13 0.10348
0.14 0.11134
0.15 0.11924
0.16 0.12712
0.17 0.13499
0.18 0.14285
0.19 0.15069
0.20 0.15852
0.21 0.16633
0.22 0.17413
0.23 0.18191
0.24 0.18967
0.25 0.19741
0.26 0.20514
0.27 0.21284
0.28 0.22052
0.29 0.22818
0.30 0.23582
0.31 0.24344
0.32 0.25103
0.33 0.25860
0.34 0.26614
0.35 0.27366
0.36 0.28115
0.37 0.28862
0.38 0.29605
0.39 0.30346
0.40 0.31084
0.41 0.31819
0.42 0.32552
0.43 0.33280
0.44 0.34006
0.45 0.34729
0.46 0.35448
0.47 0.36164
0.48 0.36877
0.49 0.37587
0.50 0.38292
0.51 0.38995
0.52 0.39694
0.53 0.40389
0.54 0.41080
0.55 0.41768
0.56 0.42452
0.57 0.43132
0.58 0.43809
0.59 0.44481
0.60 0.45149
0.61 0.45814
0.62 0.46474
0.63 0.47131
0.64 0.47783
0.65 0.48431
0.66 0.49075
0.67 0.49714
0.68 0.50350
0.69 0.50981
0.70 0.51607
0.71 0.52230
0.72 0.52848
0.73 0.53461
0.74 0.54070
0.75 0.54675
0.76 0.55275
0.77 0.55870
0.78 0.56461
0.79 0.57047
0.80 0.57629
0.81 0.58206
0.82 0.58778
0.83 0.59346
0.84 0.59909
0.85 0.60468
0.86 0.61021
0.87 0.61570
0.88 0.62114
0.89 0.62653
0.90 0.63188
0.91 0.63718
0.92 0.64243
0.93 0.64763
0.94 0.65278
0.95 0.65789
0.96 0.66294
0.97 0.66795
0.98 0.67291
0.99 0.67783
t F(t)
1.00 0.68269
1.01 0.68750
1.02 0.69227
1.03 0.69699
1.04 0.70166
1.05 0.70628
1.06 0.71086
1.07 0.71538
1.08 0.71986
1.09 0.72429
1.10 0.72867
1.11 0.73300
1.12 0.73729
1.13 0.74152
1.14 0.74571
1.15 0.74986
1.16 0.75395
1.17 0.75800
1.18 0.76200
1.19 0.76595
1.20 0.76986
1.21 0.77372
1.22 0.77754
1.23 0.78130
1.24 0.78502
1.25 0.78870
1.26 0.79233
1.27 0.79592
1.28 0.79945
1.29 0.80295
1.30 0.80640
1.31 0.80980
1.32 0.81316
1.33 0.81648
1.34 0.81975
1.35 0.82298
1.36 0.82617
1.37 0.82931
1.38 0.83241
1.39 0.83547
1.40 0.83849
1.41 0.84146
1.42 0.84439
1.43 0.84728
1.44 0.85013
1.45 0.85294
1.46 0.85571
1.47 0.85844
1.48 0.86113
1.49 0.86378
1.50 0.86639
1.51 0.86696
1.52 0.87149
1.53 0.87398
1.54 0.87644
1.55 0.87886
1.56 0.88124
1.57 0.88358
1.58 0.88589
1.59 0.88817
1.60 0.89040
1.61 0.89260
1.62 0.89477
1.63 0.89690
1.64 0.89899
1.65 0.90106
1.66 0.90309
1.67 0.90508
1.68 0.90704
1.69 0.90897
1.70 0.91087
1.71 0.91273
1.72 0.91457
1.73 0.91637
1.74 0.91814
1.75 0.91988
1.76 0.92159
1.77 0.92327
1.78 0.92492
1.79 0.92655
1.80 0.92814
1.81 0.92970
1.82 0.93124
1.83 0.93275
1.84 0.93423
1.85 0.93569
1.86 0.93711
1.87 0.93852
1.88 0.93989
1.89 0.94124
1.90 0.94257
1.91 0.94387
1.92 0.94514
1.93 0.94639
1.94 0.94762
1.95 0.94882
1.96 0.95000
1.97 0.95116
1.98 0.95230
1.99 0.95341
t F(t)
2.00 0.95450
2.01 0.95557
2.02 0.95662
2.03 0.95764
2.04 0.95865
2.05 0.95964
2.06 0.96060
2.07 0.96155
2.08 0.96247
2.09 0.96338
2.10 0.96427
2.11 0.96514
2.12 0.96599
2.13 0.96683
2.14 0.96765
2.15 0.96844
2.16 0.96923
2.17 0.96999
2.18 0.97074
2.19 0.97148
2.20 0.97219
2.21 0.97289
2.22 0.97358
2.23 0.97425
2.24 0.97491
2.25 0.97555
2.26 0.97618
2.27 0.97679
2.28 0.97739
2.29 0.97798
2.30 0.97855
2.31 0.97911
2.32 0.97966
2.33 0.98019
2.34 0.98072
2.35 0.98123
2.36 0.98172
2.37 0.98221
2.38 0.98269
2.39 0.98315
2.40 0.98360
2.41 0.98405
2.42 0.98448
2.43 0.98490
2.44 0.98531
2.45 0.98571
2.46 0.98611
2.47 0.98649
2.48 0.98686
2.49 0.98723
2.50 0.98758
2.51 0.98793
2.52 0.98826
2.53 0.98859
2.54 0.98891
2.55 0.98923
2.56 0.98953
2.57 0.98983
2.58 0.99012
2.59 0.99040
2.60 0.99068
2.61 0.99095
2.62 0.99121
2.63 0.99146
2.64 0.99171
2.65 0.99195
2.66 0.99219
2.67 0.99241
2.68 0.99263
2.69 0.99285
2.70 0.99307
2.71 0.99327
2.72 0.99347
2.73 0.99367
2.74 0.99386
2.75 0.99404
2.76 0.99422
2.77 0.99439
2.78 0.99456
2.79 0.99473
2.80 0.99489
2.81 0.99505
2.82 0.99520
2.83 0.99535
2.84 0.99549
2.85 0.99563
2.86 0.99576
2.87 0.99590
2.88 0.99602
2.89 0.99615
2.90 0.99627
2.91 0.99639
2.92 0.99650
2.93 0.99661
2.94 0.99672
2.95 0.99682
2.96 0.99692
2.97 0.99702
2.98 0.99712
2.99 0.99721
t F(t)
3.00 0.99730
3.01 0.99739
3.02 0.99747
3.03 0.99755
3.04 0.99763
3.05 0.99771
3.06 0.99779
3.07 0.99786
3.08 0.99793
3.09 0.99800
3.10 0.99806
3.11 0.99813
3.12 0.99819
3.13 0.99825
3.14 0.99831
3.15 0.99837
3.16 0.99842
3.17 0.99848
3.18 0.99853
3.19 0.99858
3.20 0.99863
3.21 0.99867
3.22 0.99872
3.23 0.99876
3.24 0.99880
3.25 0.99855
3.26 0.99889
3.27 0.99892
3.28 0.99896
3.29 0.99900
3.30 0.99903
3.31 0.99907
3.32 0.99910
3.33 0.99913
3.34 0.99916
3.35 0.99919
3.36 0.99922
3.37 0.99925
3.38 0.99928
3.39 0.99930
3.40 0.99933
3.41 0.99935
3.42 0.99937
3.43 0.99940
3.44 0.99942
3.45 0.99944
3.46 0.99946
3.47 0.99948
3.48 0.99950
3.49 0.99952
3.50 0.99953
3.51 0.99955
3.52 0.99957
3.53 0.99958
3.54 0.99960
3.55 0.99961
3.56 0.99963
3.57 0.99964
3.58 0.99966
3.59 0.99967
3.60 0.99968
3.61 0.99969
3.62 0.99971
3.63 0.99972
3.64 0.99973
3.65 0.99974
3.66 0.99975
3.67 0.99976
3.68 0.99977
3.69 0.99978
3.70 0.99978
3.71 0.99979
3.72 0.99980
3.73 0.99981
3.74 0.99982
3.75 0.99982
3.76 0.99983
3.77 0.99984
3.78 0.99984
3.79 0.99985
3.80 0.99986
3.81 0.99986
3.82 0.99987
3.83 0.99987
3.84 0.99988
3.85 0.99988
3.86 0.99989
3.87 0.99989
3.88 0.99990
3.89 0.99990
3.90 0.99990
3.91 0.99991
3.92 0.99991
3.93 0.99992
3.94 0.99992
3.95 0.99992
3.96 0.99992
3.97 0.99993
3.98 0.99993
3.99 0.99993

Таблица 3

F -распределение для уровня значимости α=0,05

                     
                       
  18,51   19,16 19,25 19,3 19,33 19,36 19,37 19,38 19,39 19,4
  10,13 9,55 9,28 9,12 9,01 8,94 8,88 8,84 8,81 8,78 8,76
  7,71 6,94 6,59 6,39 6,26 6,16 6,09 6,04   5,96 5,93
  6,61 5,79 5,41 5,19 5,05 4,95 4,88 4,82 4,78 4,74 4,7
  5,99 5,14 4,76 4,53 4,39 4,28 4,21 4,15 4,1 4,06 4,03
  5,59 4,74 4,35 4,12 3,97 3,87 3,79 3,73 3,68 3,63 3,6
  5,32 4,46 4,07 3,84 3,69 3,58 3,5 3,44 3,39 3,34 3,31
  5,12 4,26 3,86 3,63 3,48 3,37 3,29 3,23 3,18 3,13 3,1
  4,96 4,1 3,71 3,48 3,33 3,22 3,14 3,07 3,02 2,97 2,94
  4,84 3,98 3,59 3,36 3,2 3,09 3,01 2,95 2,9 2,86 2,82
  4,75 3,88 3,49 3,26 3,11   2,92 2,85 2,8 2,76 2,72
  4,6 3,74 3,34 3,11 2,96 2,85 2,77 2,7 2,65 2,6 2,56
  4,49 3,63 3,24 3,01 2,85 2,74 2,66 2,59 2,54 2,49 2,45
  4,35 3,49 3,1 2,87 2,71 2,6 2,52 2,45 2,4 2,35 2,31
  4,26 3,4 3,01 2,78 2,62 2,51 2,43 2,36 2,3 2,26 2,22
  4,17 3,32 2,92 2,69 2,53 2,42 2,34 2,27 2,21 2,16 2,12
  4,08 3,23 2,84 2,61 2,45 2,34 2,25 2,18 2,12 2,07 2,04
  4,03 3,18 2,79 2,56 2,4 2,29 2,2 2,13 2,07 2,02 1,98
  3,98 3,13 2,74 2,5 2,35 2,23 2,14 2,07 2,01 1,97 1,93
  3,94 3,09 2,7 2,46 2,3 2,19 2,1 2,03 1,97 1,92 1,88
  3,89 3,04 2,65 2,41 2,26 2,14 2,05 1,98 1,92 1,87 1,83
  3,86 3,02 2,69 2,39 2,23 2,12 2,03 1,96 1,9 1,85 1,81
3,84 2,99 2,6 2,37 2,21 2,09 2,01 1,94 1,88 1,83 1,79

Продолжение таблицы 3

                     
                         
  19,41 19,42 19,43 19,44 19,46 19,47 19,47 19,48 19,49 19,49 19,5 19,5
  8,74 8,71 8,69 8,66 8,62 8,6 8,58 8,57 8,56 8,54 8,54 8,53
  5,91 5,87 5,84 5,8 5,74 5,71 5,7 5,68 5,66 5,65 5,64 5,63
  4,68 4,64 4,6 4,56 4,5 4,46, 4,44 4,42 4,4 4,38 4,38 4,36
    3,96 3,92 3,87 3,81 3,77 3,75 3,72 3,71 3,69 3,68 3,67
  3,57 3,52 3,49 3,44 3,38 3,34 3,32 3,29 3,28 3,25 3,24 3,23
  3,28 3,23 3,2 3,15 3,08 3,05 3,03   2,98 2,96 2,94 2,93
  3,07 3,02 2,98 2,93 2,86 2,82 2,8 2,77 2,76 2,73 2,72 2,71
  2,91 2,86 2,82 2,77 2,7 2,67 2,64 2,61 2,59 2,56 2,55 2,54
  2,79 2,74 2,7 2,65 2,57 2,53 2,5 2,47 2,45 2,42 2,41 2,4
  2,69 2,64 2,6 2,54 2,46 2,42 2,4 2,36 2,35 2,32 2,31 2,3
  2,53 2,48 2,44 2,39 2,31 2,27 2,24 2,21 2,19 2,16 2,14 2,13
  2,42 2,37 2,33 2,28 2,2 2,16 2,13 2,09 2,07 2,04 2,02 2,01
  2,28 2,23 2,18 2,12 2,04 1,99 1,96 1,92 1,9 1,87 1,85 1,84
  2,18 2,13 2,09 2,02 1,94 1,89 1,86 1,82 1,8 1,76 1,74 1,73
  2,09 2,04 1,99 1,93 1,84 1,79 1,76 1,72 1,69 1,66 1,64 1,62
    1,95 1,9 1,84 1,74 1,69 1,66 1,61 1,59 1,55 1,53 1,51
  1,95 1,9 1,85 1,78 1,69 1,63 1,6 1,55 1,52 1,48 1,46 1,44
  1,89 1,84 1,79 1,72 1,62 1,56 1,53 1,47 1,45 1,4 1,37 1,35
  1,85 1,79 1,75 1,68 1,57 1,51 1,48 1,42 1,39 1,34 1,3 1,28
  1,8 1,74 1,69 1,62 1,52 1,45 1,42 1,35 1,32 1,26 1,22 1,19
  1,78 1,72 1,67 1,6 1,49 1,42 1,38 1,32 1,28 1,22 1,16 1,13
1,75 1,69 1,64 1,57 1,46 1,4 1,35 1,28 1,24 1,17 1,11  

Таблица 4

Значение случайных чисел равномерно распределённых на интервале (0, 1)

0,10097 0,32533 0,7652 0,13586 0,34673 0,54876
0,37542 0,04805 0,64894 0,74296 0,24805 0,24037
0,08422 0,68953 0,19645 0,09303 0,23209 0,0256
0,99019 0,02529 0,09376 0,70715 0,38311 0,31165
0,12807 0,9997 0,80157 0,36147 0,64032 0,36653
0,80959 0,09117 0,39292 0,74945 0,66065 0,74717
0,20636 0,10402 0,00822 0,91665 0,3106 0,10805
0,15953 0,34764 0,3508 0,33606 0,85269 0,77602
0,88676 0,74397 0,04436 0,27659 0,63573 0,32135
0,98951 0,16877 0,19171 0,76833 0,73796 0,45753
0,34072 0,7685 0,36697 0,3617 0,65813 0,39885
0,45571 0,82406 0,35303 0,42614 0,86779 0,07439
0,02051 0,65692 0,68665 0,74818 0,73053 0,85247
0,05329 0,47048 0,90553 0,57548 0,28468 0,28709
0,03529 0,64778 0,35808 0,34282 0,60935 0,20344
0,11199 0,2917 0,9852 0,17767 0,14905 0,68607
0,23403 0,09732 0,11805 0,05431 0,39808 0,27732
0,18623 0,88579 0,83452 0,99634 0,06288 0,98083
0,83491 0,25624 0,88685 0,402 0,86507 0,58401
0,35273 0,88435 0,99594 0,67348 0,87517 0,64969
0,22109 0,40555 0,6097 0,93433 0,505  
0,50725 0,68248 0,29405 0,24201 0,52775 0,67851
0,13746 0,70078 0,18475 0,40610 0,68711 0,77817
0,36766 0,67951 0,90364 0,76493 0,29609 0,11062
0,91826 0,08928 0,93785 0,61368 0,23478 0,34113
0,65481 0,17674 0,17468 0,5095 0,79335 0,51748
0,80124 0,35635 0,17727 0,08015 0,82391 0,90324
0,7435 0,99817 0,77402 0,77214 0,50024 0,23356
0,69915 0,26803 0,66252 0,29148 0,24892 0,09994
0,09893 0,20505 0,14225 0,68514 0,83647 0,76938

Задание на самостоятельную работу

Изучить:

1. Иванова В.М., Калинина В.Н., Нешумова Л.А., Решетникова И.О. Математическая статистика. 2-е изд., перераб. и доп. – М.: Высш. школа, 1981. – 371 с., ил. стр 224-286.

 




Поделиться с друзьями:


Дата добавления: 2014-01-03; Просмотров: 583; Нарушение авторских прав?; Мы поможем в написании вашей работы!


Нам важно ваше мнение! Был ли полезен опубликованный материал? Да | Нет



studopedia.su - Студопедия (2013 - 2026) год. Все материалы представленные на сайте исключительно с целью ознакомления читателями и не преследуют коммерческих целей или нарушение авторских прав! Последнее добавление




Генерация страницы за: 1.827 сек.