Студопедия

КАТЕГОРИИ:


Архитектура-(3434)Астрономия-(809)Биология-(7483)Биотехнологии-(1457)Военное дело-(14632)Высокие технологии-(1363)География-(913)Геология-(1438)Государство-(451)Демография-(1065)Дом-(47672)Журналистика и СМИ-(912)Изобретательство-(14524)Иностранные языки-(4268)Информатика-(17799)Искусство-(1338)История-(13644)Компьютеры-(11121)Косметика-(55)Кулинария-(373)Культура-(8427)Лингвистика-(374)Литература-(1642)Маркетинг-(23702)Математика-(16968)Машиностроение-(1700)Медицина-(12668)Менеджмент-(24684)Механика-(15423)Науковедение-(506)Образование-(11852)Охрана труда-(3308)Педагогика-(5571)Полиграфия-(1312)Политика-(7869)Право-(5454)Приборостроение-(1369)Программирование-(2801)Производство-(97182)Промышленность-(8706)Психология-(18388)Религия-(3217)Связь-(10668)Сельское хозяйство-(299)Социология-(6455)Спорт-(42831)Строительство-(4793)Торговля-(5050)Транспорт-(2929)Туризм-(1568)Физика-(3942)Философия-(17015)Финансы-(26596)Химия-(22929)Экология-(12095)Экономика-(9961)Электроника-(8441)Электротехника-(4623)Энергетика-(12629)Юриспруденция-(1492)Ядерная техника-(1748)

Вычисление пределов




При вычислении пределов используют теоремы о конечных пределах и теоремы о бесконечно малых и бесконечно больших функциях.

 

Основные теоремы о конечных пределах.

1. Если f (x) = const (const – константа) при , то

.

2. , где C = const.

3. , если f (x) – функция, непрерывная в точке х = а (см. п. 6).

4. Если и , где – числа, то

, и

при условии, что .

Теоремы о бесконечно малых и бесконечно больших функциях

(для краткости обозначим: бм – бесконечно малая функция, бб – бесконечно большая функция, огр – локально ограниченная функция).

5. бм ± бм = бм.

6. бм × бм = бм.

7. бм × огр = бм.

8. , если огр не является бм.

9. бб + бб = бб, если обе бб одного знака.

10. бб × бб = бб.

11. бб × огр = бб, если огр не является бм.

12. .

Примеры.

1) (здесь использована теорема 1);

2) (здесь использованы теоремы 2, 3 и непрерывность функции у = 2 х – 1);

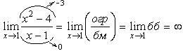
3) (здесь использована теорема 8);

4)

(здесь использованы теоремы 2, 4 и 12).




Поделиться с друзьями:


Дата добавления: 2014-01-03; Просмотров: 335; Нарушение авторских прав?; Мы поможем в написании вашей работы!


Нам важно ваше мнение! Был ли полезен опубликованный материал? Да | Нет



studopedia.su - Студопедия (2013 - 2025) год. Все материалы представленные на сайте исключительно с целью ознакомления читателями и не преследуют коммерческих целей или нарушение авторских прав! Последнее добавление




Генерация страницы за: 0.007 сек.