Студопедия

КАТЕГОРИИ:


Архитектура-(3434)Астрономия-(809)Биология-(7483)Биотехнологии-(1457)Военное дело-(14632)Высокие технологии-(1363)География-(913)Геология-(1438)Государство-(451)Демография-(1065)Дом-(47672)Журналистика и СМИ-(912)Изобретательство-(14524)Иностранные языки-(4268)Информатика-(17799)Искусство-(1338)История-(13644)Компьютеры-(11121)Косметика-(55)Кулинария-(373)Культура-(8427)Лингвистика-(374)Литература-(1642)Маркетинг-(23702)Математика-(16968)Машиностроение-(1700)Медицина-(12668)Менеджмент-(24684)Механика-(15423)Науковедение-(506)Образование-(11852)Охрана труда-(3308)Педагогика-(5571)Полиграфия-(1312)Политика-(7869)Право-(5454)Приборостроение-(1369)Программирование-(2801)Производство-(97182)Промышленность-(8706)Психология-(18388)Религия-(3217)Связь-(10668)Сельское хозяйство-(299)Социология-(6455)Спорт-(42831)Строительство-(4793)Торговля-(5050)Транспорт-(2929)Туризм-(1568)Физика-(3942)Философия-(17015)Финансы-(26596)Химия-(22929)Экология-(12095)Экономика-(9961)Электроника-(8441)Электротехника-(4623)Энергетика-(12629)Юриспруденция-(1492)Ядерная техника-(1748)

Аргинин




Биосинтез незаменимых аминокислот

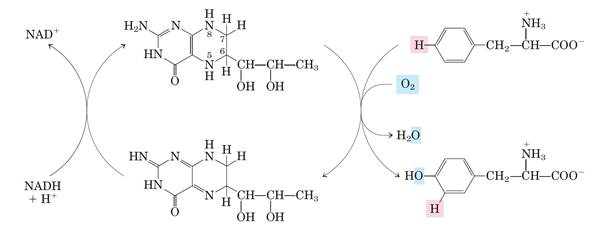
Тирозин

Тирозин образуется из фенилаланина в реакции, катализируемой фенилаланингидроксилазой, поэтому фенилаланин относится к незамени­мым аминокислотам, а тирозин – нет (при условии, что диета содержит достаточное количество фенила­ланина). Реакция необратима, и поэтому тирозин не может заменить пищевой фенилаланин. Фенилаланингидроксилаза является оксигеназой со смешанной функцией, она имеется в печени млекопитающих и отсутствует в других тканях. В результате реакции один атом молекулярного кислорода включается в пара -положение фенилаланина (в виде гидроксильной группы), а другой восстанавливается, образуя воду. В качестве восстановителя (кофактора фермента) непосредственно в реакции участвует соединение тетрагидробиоптерин (воостановленная форма). В процессе реакции оно окисляется до дигидробиоптерина, восстановление которого в дальнейшем происходит за счет NADH.

 

 

Ниже кратко описан биосинтез незаменимых аминокислот, осуществляемый в бактериях, грибах и растениях из глутамата, аспартата или других амфиболических мета­болитов. В тканях млекопитающих эти реакции не происходят.

 

Аргинин – незаменимая пищевая аминокислота для человека в период его роста – может синтезиро­ваться у крыс, но в таких количествах, которые не достаточны для нормального роста этих животных.

В микроорганизмах идет биосинтез аргинина из глутамата с образованием N-ацетилированных интермедиатов. Одним из них является N-ацетилглутамат-γ-полуальдегид, который служит также предше­ственником пролина у бактерий. У человека, а также у животных пролин образуется из глутамата.

 

Аспартат является предшественником семейства аминокислот, в которое входят лизин, метионин, треонин и изолейцин.




Поделиться с друзьями:


Дата добавления: 2015-07-13; Просмотров: 597; Нарушение авторских прав?; Мы поможем в написании вашей работы!


Нам важно ваше мнение! Был ли полезен опубликованный материал? Да | Нет



studopedia.su - Студопедия (2013 - 2026) год. Все материалы представленные на сайте исключительно с целью ознакомления читателями и не преследуют коммерческих целей или нарушение авторских прав! Последнее добавление




Генерация страницы за: 0.008 сек.