Студопедия

КАТЕГОРИИ:


Архитектура-(3434)Астрономия-(809)Биология-(7483)Биотехнологии-(1457)Военное дело-(14632)Высокие технологии-(1363)География-(913)Геология-(1438)Государство-(451)Демография-(1065)Дом-(47672)Журналистика и СМИ-(912)Изобретательство-(14524)Иностранные языки-(4268)Информатика-(17799)Искусство-(1338)История-(13644)Компьютеры-(11121)Косметика-(55)Кулинария-(373)Культура-(8427)Лингвистика-(374)Литература-(1642)Маркетинг-(23702)Математика-(16968)Машиностроение-(1700)Медицина-(12668)Менеджмент-(24684)Механика-(15423)Науковедение-(506)Образование-(11852)Охрана труда-(3308)Педагогика-(5571)Полиграфия-(1312)Политика-(7869)Право-(5454)Приборостроение-(1369)Программирование-(2801)Производство-(97182)Промышленность-(8706)Психология-(18388)Религия-(3217)Связь-(10668)Сельское хозяйство-(299)Социология-(6455)Спорт-(42831)Строительство-(4793)Торговля-(5050)Транспорт-(2929)Туризм-(1568)Физика-(3942)Философия-(17015)Финансы-(26596)Химия-(22929)Экология-(12095)Экономика-(9961)Электроника-(8441)Электротехника-(4623)Энергетика-(12629)Юриспруденция-(1492)Ядерная техника-(1748)

Решение. Пример 2. Дан прямой круговой конус АВС равносторонний, ВО = 10




Vцилиндра = Sосн.∙ h

Ответ. 31

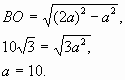
Пример 2. Дан прямой круговой конус АВС равносторонний, ВО = 10 . Найдите объем конуса.

Решение

Найдем радиус основания конуса. С= 600, В=300,

Пусть ОС = а, тогда ВС = 2 а. По теореме Пифагора:

Ответ: .

Пример 3. Вычислить объемы фигур, образованных вращением площадей, ограниченных указанными линиями.

y2 = 4x; y = 0; x = 4.

Пределы интегрирования a = 0, b = 4.

V= | =32π


Задания

Вариант 1

1. Осевое сечение цилиндра – квадрат, диагональ которого равна 4 дм. Найти объем цилиндра.

2. Внешний диаметр полого шара равен 18 см, толщина стенок 3 см. Найти объем стенок шара.

3. Вычислить объем тела, образованного вращением вокруг оси О х фигуры, ограниченной линиями у2 =х, у=0, х=1, х=2.

Вариант 2

1. Радиусы трех шаров равны 6 см, 8 см, 10 см. определить радиус шара, объем которого равен сумме объемов данных шаров.

2. Площадь основания конуса 9 см2 , площадь полной поверхности его 24 см2. Найти объем конуса.

3. Вычислить объем тела, образованного вращением вокруг оси О х фигуры, ограниченной линиями у2 =2х, у=0, х=2, х=4.

Контрольные вопросы:

1. Напишите свойства объемов тел.

2. Напишите формулу для вычисления объема тела вращения вокруг оси Оу.

 




Поделиться с друзьями:


Дата добавления: 2015-07-13; Просмотров: 5413; Нарушение авторских прав?; Мы поможем в написании вашей работы!


Нам важно ваше мнение! Был ли полезен опубликованный материал? Да | Нет



studopedia.su - Студопедия (2013 - 2026) год. Все материалы представленные на сайте исключительно с целью ознакомления читателями и не преследуют коммерческих целей или нарушение авторских прав! Последнее добавление




Генерация страницы за: 0.011 сек.