Студопедия

КАТЕГОРИИ:


Архитектура-(3434)Астрономия-(809)Биология-(7483)Биотехнологии-(1457)Военное дело-(14632)Высокие технологии-(1363)География-(913)Геология-(1438)Государство-(451)Демография-(1065)Дом-(47672)Журналистика и СМИ-(912)Изобретательство-(14524)Иностранные языки-(4268)Информатика-(17799)Искусство-(1338)История-(13644)Компьютеры-(11121)Косметика-(55)Кулинария-(373)Культура-(8427)Лингвистика-(374)Литература-(1642)Маркетинг-(23702)Математика-(16968)Машиностроение-(1700)Медицина-(12668)Менеджмент-(24684)Механика-(15423)Науковедение-(506)Образование-(11852)Охрана труда-(3308)Педагогика-(5571)Полиграфия-(1312)Политика-(7869)Право-(5454)Приборостроение-(1369)Программирование-(2801)Производство-(97182)Промышленность-(8706)Психология-(18388)Религия-(3217)Связь-(10668)Сельское хозяйство-(299)Социология-(6455)Спорт-(42831)Строительство-(4793)Торговля-(5050)Транспорт-(2929)Туризм-(1568)Физика-(3942)Философия-(17015)Финансы-(26596)Химия-(22929)Экология-(12095)Экономика-(9961)Электроника-(8441)Электротехника-(4623)Энергетика-(12629)Юриспруденция-(1492)Ядерная техника-(1748)

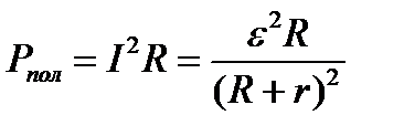
Мощность, выделяемая на внешнем участке цепи, называется полезной мощностью




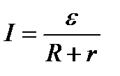
Закон Ома можно записать в следующем виде

По закону Джоуля-Ленца

Q=I2Rt+I2rt=I2(R+r)t


Так как Аст= Q, то qe= Ite= I2(R+r)t и e= I(R+r). Отсюда получаем закон Ома для замкнутой цепи

Сила тока в замкнутой цепи прямо пропорциональна электродвижущей силе источника тока и обратно пропорциональна полному сопротивлению цепи.

Если сопротивление внешней цепи стремится к нулю, то в цепи возникает максимально возможный ток, который называется током короткого замыкания.

e= IR+ I r=U+Ir

Это значит, что ЭДС источника равна сумме падений напряжений на внешнем и внутреннем участках замкнутой цепи.

Полная мощность источника

Р= Ie= I2(R+r)


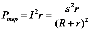
Мощность, выделяемая на внутреннем сопротивлении в источнике тока, называется теряемой мощностью


Коэффициент полезного действия источника тока h равен отношению полезной мощности Рпол к полной мощности Р

 


2. Радиоактивность. Виды радиоактивных излучений, их свойства. Радиоактивность — это испускание ядрами некоторых элементов различных частиц, сопровождающееся переходом ядра в другое состояние и изменением его параметров. Явление радиоактивности было открыто опытным путем французским ученым Анри Беккерелем в 1896 г. для солей урана. Беккерель заметил, что соли урана засвечивают завернутую во много слоев фотобумагу невидимым проникающим излучением.
Английский физик Э. Резерфорд исследовал радиоактивное излучение в электрических и магнитных полях и открыл три составляющие этого излучения, которые были названы а-, B-, у-излучением (рис. 54).



а-Распад представляет собой излучение а-частиц (ядер гелия) высоких энергий. При этом масса ядра уменьшается на 4 единицы, а заряд — на 2 единицы.
B-Распад — излучение электронов, заряд которых возрастает на единицу, массовое число не изменяется.
у-Излучение представляет собой испускание возбужденным ядром квантов света высокой частоты. Параметры ядра при у-излучении не меняются, ядро лишь переходит в состояние с меньшей энергией. Распавшееся ядро тоже радиоактивно, т. е. происходит цепочка последовательных радиоактивных превращений. Процесс распада всех радиоактивных элементов идет до свинца. Свинец — конечный продукт распада.

 

3. Задача на электромагнитные явления.

В проводящей шине длиной 10 м. сила тока равна 7000А. Какова индукция однородного магнитного поля, силовые линии которого перпендикулярны шине, если на нее действует сила Ампера 126 кН?




Поделиться с друзьями:


Дата добавления: 2015-08-31; Просмотров: 5481; Нарушение авторских прав?; Мы поможем в написании вашей работы!


Нам важно ваше мнение! Был ли полезен опубликованный материал? Да | Нет



studopedia.su - Студопедия (2013 - 2025) год. Все материалы представленные на сайте исключительно с целью ознакомления читателями и не преследуют коммерческих целей или нарушение авторских прав! Последнее добавление




Генерация страницы за: 0.007 сек.