Студопедия

КАТЕГОРИИ:


Архитектура-(3434)Астрономия-(809)Биология-(7483)Биотехнологии-(1457)Военное дело-(14632)Высокие технологии-(1363)География-(913)Геология-(1438)Государство-(451)Демография-(1065)Дом-(47672)Журналистика и СМИ-(912)Изобретательство-(14524)Иностранные языки-(4268)Информатика-(17799)Искусство-(1338)История-(13644)Компьютеры-(11121)Косметика-(55)Кулинария-(373)Культура-(8427)Лингвистика-(374)Литература-(1642)Маркетинг-(23702)Математика-(16968)Машиностроение-(1700)Медицина-(12668)Менеджмент-(24684)Механика-(15423)Науковедение-(506)Образование-(11852)Охрана труда-(3308)Педагогика-(5571)Полиграфия-(1312)Политика-(7869)Право-(5454)Приборостроение-(1369)Программирование-(2801)Производство-(97182)Промышленность-(8706)Психология-(18388)Религия-(3217)Связь-(10668)Сельское хозяйство-(299)Социология-(6455)Спорт-(42831)Строительство-(4793)Торговля-(5050)Транспорт-(2929)Туризм-(1568)Физика-(3942)Философия-(17015)Финансы-(26596)Химия-(22929)Экология-(12095)Экономика-(9961)Электроника-(8441)Электротехника-(4623)Энергетика-(12629)Юриспруденция-(1492)Ядерная техника-(1748)

Розрахунок точності кутових вимірювань




Розрахунок точності полігонометричної мережі з однією вузловою точкою.

На карті масштабу 1: 10000 запроектували полігонометричну мережу з однією вузловою точкою Е (рис. 4), в котру збігаються три ходи, що спираються на пункти А, В, С полігонометрії старшого класу. Один з трьох ходів проектують зігнутим.

Рис. 4. Схема полігонометричної мережі з однією вузловою точкою.

Порядок розрахунку наступний:

1) Обчислюємо похибку положення вузлової точки витягнутих ходів за формулою:

(6)

1.

2.

 

2) Обчислюємо похибку положення вузлової точки зігнутих ходів за формулою:

(7)

3) Визначаємо вагу кожного з трьох ходів:

Р1=С/ ; Р2=С/ ; Р3=С/ ; (8)

де С – довільне число; - похибки вузлової точки, обчислені за формулами (6) або (7).

1. P1= 5/ = 0,001;

2. P2 = 5/ = 0,0003;

3. P3 = 5/ = 0,0211

 

4) Обчислюємо похибку положення вузлової точки трьох ходів:

(9)

де

 

Pвуз = 0,001+0,0003+0,0211 = 0,0224

 

 

Мвуз= 14.94036

 

Для запроектованого окремого витягнутого полігонометричного ходу, що спирається на дві вихідні сторони (рис. 1,а) розрахувати необхідну точність кутових вимірювань і на основі розрахунків підібрати необхідні прилади.

Похибку положення точки в найслабшому місці (середина ходу) обчислюють за формулою (4):

. (13)

Застосувавши принцип рівних впливів, можна написати:

 
 


, (14)

 

звідки отримаємо:

, або (15)

. (16)

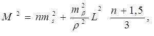
В запроектованому витягнутому ході 1 розряду M= 0,033 мм., L= 2550 м., n= 6. за формулою (16) отримаємо:

.

Висновок: кути в окремому витягнутому полігонометричному ході з приблизно рівними сторонами потрібно вимірювати з похибкою , тобто оптичним теодолітом типу Т1, або електронним тахеометром, в якому похибка вимірювання кутів не більше .

 




Поделиться с друзьями:


Дата добавления: 2015-08-31; Просмотров: 509; Нарушение авторских прав?; Мы поможем в написании вашей работы!


Нам важно ваше мнение! Был ли полезен опубликованный материал? Да | Нет



studopedia.su - Студопедия (2013 - 2026) год. Все материалы представленные на сайте исключительно с целью ознакомления читателями и не преследуют коммерческих целей или нарушение авторских прав! Последнее добавление




Генерация страницы за: 0.008 сек.