Студопедия

КАТЕГОРИИ:


Архитектура-(3434)Астрономия-(809)Биология-(7483)Биотехнологии-(1457)Военное дело-(14632)Высокие технологии-(1363)География-(913)Геология-(1438)Государство-(451)Демография-(1065)Дом-(47672)Журналистика и СМИ-(912)Изобретательство-(14524)Иностранные языки-(4268)Информатика-(17799)Искусство-(1338)История-(13644)Компьютеры-(11121)Косметика-(55)Кулинария-(373)Культура-(8427)Лингвистика-(374)Литература-(1642)Маркетинг-(23702)Математика-(16968)Машиностроение-(1700)Медицина-(12668)Менеджмент-(24684)Механика-(15423)Науковедение-(506)Образование-(11852)Охрана труда-(3308)Педагогика-(5571)Полиграфия-(1312)Политика-(7869)Право-(5454)Приборостроение-(1369)Программирование-(2801)Производство-(97182)Промышленность-(8706)Психология-(18388)Религия-(3217)Связь-(10668)Сельское хозяйство-(299)Социология-(6455)Спорт-(42831)Строительство-(4793)Торговля-(5050)Транспорт-(2929)Туризм-(1568)Физика-(3942)Философия-(17015)Финансы-(26596)Химия-(22929)Экология-(12095)Экономика-(9961)Электроника-(8441)Электротехника-(4623)Энергетика-(12629)Юриспруденция-(1492)Ядерная техника-(1748)

Обгрунтування фільтраційної схеми і методу підрахунку запасів




ПІДРАХУНОК ЕКСПЛУАТАЦІЙНИХ ЗАПАСІВ ПОЗЕМНИХ МІНЕРАЛЬНИХ ВОД

8.1. Режим експлуатації мінеральних вод

 

Підземні мінеральні води являють собою дуже складний об'єкт для оцінки їх експлуатаційних запасів.

Важливою особливістю оцінки експлуатаційних запасів є необхідність обгрунтування стійкості або припустима зміна якості води в процесі експлуатації на весь період.

У зв'язку з цим, при оцінці експлуатаційних запасів мінеральних вод відкачка повинна бути настільки тривалою, наскільки це необхідно для підтвердження джерел і умов формування їх якості, а також його відповідності встановленим кондиціям.

Дослідно-експлуатаційна відкачка на Драбівському родовищі мінеральних вод виконувалася в двох режимах: безперервному і переривчастому. Дебіт в процесі відкачки становив 2 дм3/с, а водоотбор, відповідно, для кожного з режимів, дорівнює: 172.8 м3 /добу і 86.4 м3 /добу.

Експлуатація родовища буде здійснюватися однією свердловиною протягом 12 годин щодоби впродовж 50 років (5 * 104 діб)

 

 

Формування мінеральних вод Драбівського родовища відбувається в складних гідродинамічних умовах. Основним джерелом формування експлуатаційних запасів є пружні і природні ресурси горизонту.

В межах родовища продуктивний горизонт приурочений до нижньої частини нижньо тріасових відкладень.

Відповідно до існуючих рекомендацій, на родовищах зі складними гідродинамічними умовами, де можливість аналітичного обліку і прогнозу зміни гідродинамічної обстановки під впливом водовідбору в значній мірі утруднена або повністю виключається, в таких умовах необхідно застосовувати гідравлічний метод оцінки запасів. Для розрахунків необхідно використовувати залежності, які отримані за даними тривалої дослідно-експлуатаційної відкачки.

8.3.Схема експлуатаційних запасів мінеральних вод

 

Оцінка експлуатаційних запасів підземних мінеральних вод регламентується, з одного боку, загальними положеннями чинної інструкції ДКЗ (9), а з іншого - кондиціями Одеського НДІ курортології на відповідний тип мінеральних вод конкретного родовища.

На підставі наявної заявки і відповідно до геологічним завданням, потреба в мінеральної води санаторію «Пролісок» становить 65 м3 /добу.

Розвідані родовище характеризується наступними особливостями, які зумовлюють оцінку експлуатаційних запасів мінеральних вод.

За гідрогеологічним умовам Драбівське родовище мінеральних вод, відповідно до інструкції ДКЗ (9), відноситься до другої (II) групі.

Аналіз результатів дослідно-експлуатаційної відкачки показує, що стабілізація рівнів було досягнуто як при безперервному, так і переривчастому режимі відкачування. Протягом усього періоду проведення відкачування в свердловині спостерігалася стабільність якості мінеральної води, повністю задовольняє вимогам норм, встановленим Одеським НДІ курортології.

На підставі даних, отриманих в результаті виконаних досвідчених і дослідницьких робіт та заявленої потреби в мінеральній воді, в також відповідно до вимог чинної інструкції ГКЗ, стосовно до даного типу корисної копалини, а також нормами Одеського НДІ курортології до експлуатаційних запасів підземних мінеральних вод Драбівського родовища, відносимо фактичний дебіт свердловини, який отримано в процесі проведення дослідно-експлуатаційної відкачки в переривчастому режимі, тобто 86.4 м3 /добу.

Відповідно до існуючої нормі експлуатаційних запасів підземних вод по відношенню до родовищ лікувальних мінеральних вод, дані запаси в повному їх кількості відносимо до запасів по категорії А.

Виходячи з умов розвіданого родовища, розрахунок експлуатаційних запасів виконаємо ще й аналітичним методом.

Доцільність застосування аналітичного методу оцінки запасів необхідна для підтвердження високої категорії розвіданих запасів даного родовища.

Розрахунок зниження рівня в експлуатаційній свердловині виконаємо для режиму роботи 12 годин на добу протягом 50 років (5 * 104 діб). Для обчислень використовуємо формулу:

 

 

де: Q - експлуатаційний дебіт, 86.4м3 / добу

km - коефіцієнт водопровідності, 108.08 м2 / діб

а - коефіцієнт рівнепроводимості, 2 * 104 м2 / діб

t - розрахунковий термін експлуатації, 2 * 104 діб

ro - радіус свердловини, 0.073 м

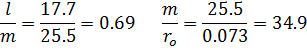
R - величина фільтраційного опору, що враховує недосконалість свердловини і визначається залежно від ставлення потужності горизонту: m = 25.5 м до радіусу свердловини ro = 0.073 м і довжини фільтра l = 17.7 м до потужності горизонту, тобто:

 

Тоді, R=3.45

Розраховане пониження менше допустимого.

Розрахунок зниження рівня в експлуатаційній свердловині виконаємо і для перериваного режиму експлуатації протягом 50 років (2 * 104 діб). У цьому випадку експлуатаційний дебіт склав: 172.8 м3 / добу

 

 

Величина допустимого пониження в нашому випадку становить 383 метри.

Розрахункове зниження набагато менше допустимого. Звідси зробимо висновок, що свердловину можна експлуатувати з проектним дебітом.




Поделиться с друзьями:


Дата добавления: 2015-07-13; Просмотров: 237; Нарушение авторских прав?; Мы поможем в написании вашей работы!


Нам важно ваше мнение! Был ли полезен опубликованный материал? Да | Нет



studopedia.su - Студопедия (2013 - 2026) год. Все материалы представленные на сайте исключительно с целью ознакомления читателями и не преследуют коммерческих целей или нарушение авторских прав! Последнее добавление




Генерация страницы за: 0.009 сек.