Студопедия

КАТЕГОРИИ:


Архитектура-(3434)Астрономия-(809)Биология-(7483)Биотехнологии-(1457)Военное дело-(14632)Высокие технологии-(1363)География-(913)Геология-(1438)Государство-(451)Демография-(1065)Дом-(47672)Журналистика и СМИ-(912)Изобретательство-(14524)Иностранные языки-(4268)Информатика-(17799)Искусство-(1338)История-(13644)Компьютеры-(11121)Косметика-(55)Кулинария-(373)Культура-(8427)Лингвистика-(374)Литература-(1642)Маркетинг-(23702)Математика-(16968)Машиностроение-(1700)Медицина-(12668)Менеджмент-(24684)Механика-(15423)Науковедение-(506)Образование-(11852)Охрана труда-(3308)Педагогика-(5571)Полиграфия-(1312)Политика-(7869)Право-(5454)Приборостроение-(1369)Программирование-(2801)Производство-(97182)Промышленность-(8706)Психология-(18388)Религия-(3217)Связь-(10668)Сельское хозяйство-(299)Социология-(6455)Спорт-(42831)Строительство-(4793)Торговля-(5050)Транспорт-(2929)Туризм-(1568)Физика-(3942)Философия-(17015)Финансы-(26596)Химия-(22929)Экология-(12095)Экономика-(9961)Электроника-(8441)Электротехника-(4623)Энергетика-(12629)Юриспруденция-(1492)Ядерная техника-(1748)

Гидродинамическое совершенство скважины и понятие о скин-эффекте




 

Как уже говорилось, приток жидкости к забою гидродинамически совершенной скважины описывается уравнением Дюпюи. представленном в формуле

Гидродинамически совершенной считается скважина, размещенная в центре кругового пласта радиусом RK. свойства которого изотропны во всех

направлениях. При этом жидкость поступает к открытому забою и является однофазной и несжимаемой. Т.к. приток жидкости к скважине носит радиальный характер, можно утверждать, что в гидродинамически совершенной скважине основная доля перепада давления сосредоточена в зоне пласта непосредственно вокруг стенок скважины. Так. если приток осуществляется от контура питания, находящегося на расстоянии 300 м от стенки скважины радиусом 0.1 м. то половина всего перепада давления расходуется на продвижение жидкости в пористом пространстве только в зоне 5.5 м вокруг скважины. Следовательно, прискважинная зона пласта играет решающую роль в притоке жидкости к скважине.

Приток жидкости в реальную скважину отличается от притока в гадродинамически совершенную скважину тем. что в прискважинной зоне пласта и в самой скважине против продуктивного горизонта возникают дополнительные фильтрационные сопротивления из-за искривления и загустения линий тока пластовых флюидов. Учитывая современные представления о фильтрации жидкостей и газов в пористых средах и о технологиях заканчивания скважин, выделяют три типа гадродинамического несовершенства скважин:

 

Рисунок 4 - Схемы притока в гидродинамически совершенную (а) и гадродинамнчески несовершенные скважины по качеству (б), степени (в) и характеру (г) вскрытия продуктивного гориззонта

 

1) по степени вскрытия пласта (скважина вскрывает продуктивный пласт не на всю его мощность (Рисунок 4. в);

2) по характеру вскрытия пласта (связь пласта со скважиной осуществляется не через открытый забой, а через перфорационные каналы (Рисунок 4. г):

3) по качеству вскрытия (проницаемость пористой сферы или цилиндра в прискважинной зоне уменьшена по отношению к первоначальной проницаемости пласта (Рисунок 4. б).

Известно, что в общем случае в пласте вокруг скважины образуются две зоны с измененной проницаемостью - зона проникновения фильтрата промывочной жидкости радиусом Rзп и зона колматации гк. (Рисунок 5).

 

Рисунок 5 - Схемы прискважинной зоны пласта после вскрытия его бурением. 1 - стенка скважины; 2 - глинистая корка; 3 - зона кольматации; 4 - зона проникновения фильтрата промывочной жидкости; k. k1, k2 - проницаемости, соответственно, начальная, в зоне кольматации и в зоне проникновения фильтрата.

 

 

Обозначим давление на радиусе проникновения Rзп через р2. на радиусе кольматации гк через р1, пластовое через рпл. а на входе в скважину через рс. Тогда, если приток идет от контура питания RK к скважине с воображаемым радиусом гС9 согласно формуле Дюпюи дебит будет равен:

 

(10)

 

 

Аналогично для движения жидкости в зоне проникновения фильтрата:

 

 

(11)

 

И для движения жидкости через зону кольматации:

 

(12)

 

 

Исходя из условия неразрывности потока, когда Qпл = Qзп = Qзк, и, сравнив их получим:

 

(13)

 

 

или

 

(14)

 

Отношения и показывают насколько проницаемости зон проникновения фильтрата и кольматации ухудшены по сравнению с естественной. В нефтегазовой практике дополнительные фильтрационные сопротивления за счет изменения проницаемости породы в призабойной зоне называют скин-эффектом S.

 

 

(15)

 

где Sб=S1+S2 - скин-эффект за счет бурения. состоящий из суммы скин-эффектов в обеих зонах снижения проницаемости – кольматации и проникновения фильтрата.

 

Из (14), (15) получаем

(16)

 

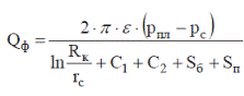
Формула для расчета дебита реальной скважины, пробуренной на нефтяной объект и имеющей все виды гидродинамического несовершенства, принимает вид:

 

 

С1, С2 - безразмерные коэффициенты, учитывающие

дополнительные фильтрационные из-за несовершенства скважины соответственно по степени и по характеру вскрытия пласта.

коэффициент Sn (скин-эффект перфорации), учитывающий дополнительные фильтрационные сопротивления в прискважинной зоне вокруг перфорационных каналов.

Для расчетов притока жидкости или времени для системы взаимодействующих несовершенных скважин большое значение имеет понятие приведенного радиуса rпр. Это радиус такой фиктивной скважины, дебит которой при остальных равных условиях равен дебиту реальной гадродинамически несовершенной скважины

 

 

Коэффициент гидродинамического совершенства скважины может быть выражен зависимостью:

 

 

В то же время изменение проницаемости породы в прискважинной зоне пласта и геометрия забоя скважины с гидродинамической точки зрения имеют очень сложную картину и не поддаются точному математическому описанию. Действительно, в реальной скважине в промысловых условиях технологи не знают, например, размеры и форму полученных перфорационных каналов, степень изменения проницаемости пород вокруг перфорационных каналов и т.д. Технологи также не имеют доскональной информации и о других параметрах. по которым определяются значения дополнительных фильтрационных сопротивлений. Поэтому гидродинамического совершенства скважины по формуле обычно не возможно, так как неизвестны точные значения безразмерных коэффициентов, учитывающих дополнительные фильтрационные сопротивления.

В то же время, базируясь на гидродинамических методах исследования скважин, можно получить формулу для определения коэффициента гидродинамического совершенства, если в формулу дебита реальной скважины ввести коэффициент гидропроводности

 

 

В формуле величина продуктивности ηэф определяется по результатам исследований скважины при стабильных режимах ее работы, т.е. по индикаторной диаграмме (ИД). Величина коэффициента гидропроводности пласта ε определяется по результатам исследований на неустановившихся режимах работы скважины методом построения кривой восстановления давления в полулогарифмических координатах ∆р - ln(t). Из теоретических основ газогиродинамичесих исследований на стационарных и нестационарных режимах работы скважин вытекает, что коэффициент продуктивности, определенный по ИД, характеризует всю зону дренирования - от контура питания до стенки скважины, а коэффициент гидропроводности. определенный по КВД, характеризует так называемую удаленную от скважины зону продуктивного пласта с неизмененными природными фильтрационными свойствами. Этот конечный вывод позволяет интегрально оценивать зависимость изменения продуктивности скважины от суммы факторов в процессе ее строительства.

 




Поделиться с друзьями:


Дата добавления: 2015-07-13; Просмотров: 5964; Нарушение авторских прав?; Мы поможем в написании вашей работы!


Нам важно ваше мнение! Был ли полезен опубликованный материал? Да | Нет



studopedia.su - Студопедия (2013 - 2026) год. Все материалы представленные на сайте исключительно с целью ознакомления читателями и не преследуют коммерческих целей или нарушение авторских прав! Последнее добавление




Генерация страницы за: 0.009 сек.