Студопедия

КАТЕГОРИИ:


Архитектура-(3434)Астрономия-(809)Биология-(7483)Биотехнологии-(1457)Военное дело-(14632)Высокие технологии-(1363)География-(913)Геология-(1438)Государство-(451)Демография-(1065)Дом-(47672)Журналистика и СМИ-(912)Изобретательство-(14524)Иностранные языки-(4268)Информатика-(17799)Искусство-(1338)История-(13644)Компьютеры-(11121)Косметика-(55)Кулинария-(373)Культура-(8427)Лингвистика-(374)Литература-(1642)Маркетинг-(23702)Математика-(16968)Машиностроение-(1700)Медицина-(12668)Менеджмент-(24684)Механика-(15423)Науковедение-(506)Образование-(11852)Охрана труда-(3308)Педагогика-(5571)Полиграфия-(1312)Политика-(7869)Право-(5454)Приборостроение-(1369)Программирование-(2801)Производство-(97182)Промышленность-(8706)Психология-(18388)Религия-(3217)Связь-(10668)Сельское хозяйство-(299)Социология-(6455)Спорт-(42831)Строительство-(4793)Торговля-(5050)Транспорт-(2929)Туризм-(1568)Физика-(3942)Философия-(17015)Финансы-(26596)Химия-(22929)Экология-(12095)Экономика-(9961)Электроника-(8441)Электротехника-(4623)Энергетика-(12629)Юриспруденция-(1492)Ядерная техника-(1748)

Коленчатый вал и маховик

Коленчатый вал относится к числу наиболее ответственных, напряженных и дорогостоящих деталей двигателя. При работе двигателя вал нагружается силами давления газов, а также силами инерции движущихся возвратно-поступательно и вращающихся деталей, вызывающими значительные напряжения кручения и изгибные напряжения. Кроме того, возникают напряжения от крутильных колебаний. Шейки вала испытывают переменное давление, обусловливающее значительную работу трения и износ шеек. Вследствие этого коленчатый вал двигателя должен обладать высокой прочностью, жесткостью и износостойкостью трущихся поверхностей (шеек) при относительно небольшой массе (масса вала составляет 7–15% массы двигателя).

Коленчатые валы изготовляют обычно из качественных углеродистых или легированных сталей ковкой или штамповкой. Применяют также литые валы из высокопрочного чугуна и стали.

На рис. 1.19 показана конструкция коленчатого вала двигателя. Коленчатый вал имеет коренные 4 и шатунные 3 шейки. Последние расположены под определенным углом одна к другой. Щеки 2 вала выполнены как одно целое с противовесами 6. В шатунных шейках имеются полости для дополнительной центробежной очистки масла. Осевые силы воспринимаются полукольцами, расположенными в расточке блок-картера и крышке коренного подшипника. К фланцу 5 крепится маховик 1.

Относительное расположение колен на валу должно удовлетворять требованиям равномерности хода и уравновешенности двигателя.

Рис. 1.19. Конструкция коленчатого вала двигателя

Наиболее нагружены коленчатые валы дизелей скоростью нарастания давления и значительными массами деталей кривошипно-шатунного механизма. Как правило, число коренных опор коленчатых валов дизелей на одну больше числа шатунных шеек. В менее нагруженных (карбюраторных) двигателях иногда применяют валы, имеющие коренные опоры через два колена, что упрощает устройство двигателя и уменьшает его длину. Большая часть валов для уравновешивания центробежных сил снабжается противовесами. Противовесы изготовляют как одно целое со щеками или отъемными. Отъемные противовесы крепятся к щеке шпильками, болтами или при помощи шипового соединения с коническим пальцем. Большинство коленчатых валов является неразъемными, только в крупных крейцкопфных двигателях, а также в мотоциклетных двигателях малой мощности применяются составные конструкции коленчатого вала.

Маховик служит для вывода поршней из мертвых точек и уменьшения неравномерности вращения коленчатого вала.

Накопленная кинетическая энергия облегчает работу двигателя при трогании с места и преодолении кратковременных перегрузок. Маховик представляет собой массивный литой диск, который отливается из чугуна. Он крепится болтами и фиксируется штифтами на фланце коленчатого вала или непосредственно на его хвостовике. На ободе маховика установлен зубчатый венец, который передает коленчатому валу момент от пускового устройства.

Размеры и масса маховика зависят от частоты вращения и числа цилиндров. С увеличением частоты вращения количество кинетической энергии повышается, поэтому у быстроходных двигателей масса и размеры маховика меньше. Неравномерность вращения коленчатого вала уменьшается с увеличением числа цилиндров, следовательно, чем больше цилиндров, тем легче маховик двигателя.

    1. Кинематика кривошипно-шатунного механизма

При изучении кинематики КШМ предполагают, что коленчатый вал двигателя вращается с постоянной угловой скоростью?, отсутствуют зазоры в сопряженных деталях, и механизм рассматривают с одной степенью свободы.

В действительности из-за неравномерности крутящего момента двигателя угловая скорость переменна. Поэтому при рассмотрении специальных вопросов динамики, в частности крутильных колебаний системы коленчатого вала, необходимо учитывать изменение угловой скорости.

Независимой переменной принимают угол поворота кривошипа коленчатого вала?. При кинематическом анализе устанавливают законы движения звеньев КШМ, и в первую очередь поршня и шатуна.

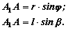
За исходное принимают положение поршня в верхней мертвой точке (точка В1) (рис. 1.20), а направление вращения коленчатого вала по часовой стрелке. При этом для выявления законов движения и аналитических зависимостей устанавливают наиболее характерные точки. Для центрального механизма такими точками являются ось поршневого пальца (точка В), совершающая вместе с поршнем возвратно-поступательное движение вдоль оси цилиндра, и ось шатунной шейки кривошипа (точка А), вращающаяся вокруг оси коленчатого вала О.

Для определения зависимостей кинематики КШМ введем следующие обозначения:

l – длина шатуна;

r – радиус кривошипа;

? – отношение радиуса кривошипа к длине шатуна.

.

Для современных автомобильных и тракторных двигателей величина? = 0.25–0.31. Для высокооборотных двигателей с целью уменьшения сил инерции возвратно-поступательно движущихся масс применяют более длинные шатуны, чем для малооборотных.

? – угол между осями шатуна и цилиндра, величина которого определяется по следующей зависимости:

Наибольшие углы? для современных автомобильных и тракторных двигателей составляют 12–18°.

Перемещение (путь) поршня будет зависеть от угла поворота коленчатого вала и определяться отрезком Х (см. рис. 1.20), который равен:

.

Рис. 1.20. Схема центрального КШМ

Из треугольников А1 АВ и ОА1А следует, что

Учитывая, что , получаем:

Из прямоугольных треугольников А1АВ и А1ОА устанавливаем, что

Откуда

Так как

то, подставив полученные выражения в формулу для перемещения поршня, получим:

Так как то

Полученное уравнение характеризует движение деталей КШМ в зависимости от угла поворота коленчатого вала и показывает, что путь поршня можно условно представить состоящим из двух гармонических перемещений:

где – путь поршня первого порядка, который имел бы место при наличии шатуна бесконечной длины;

– путь поршня второго порядка, т. е. дополнительное перемещение, зависящее от конечной длины шатуна.

На рис. 1.21 даны кривые пути поршня по углу поворота коленчатого вала. Из рисунка видно, что при повороте коленчатого вала на угол, равный 90°, поршень проходит больше половины своего хода.

Рис. 1.21. Изменение пути поршня в зависимости от угла поворота коленчатого вала

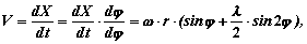
Скорость поршня определяется как первая производная пути поршня по времени:

где –угловая скорость вращения вала.

Скорость поршня можно представить в виде суммы двух слагаемых:

где – гармонически изменяющаяся скорость поршня первого порядка, т. е. скорость, с которой двигался бы поршень при наличии шатуна бесконечно большой длины;

– гармонически изменяющаяся скорость поршня второго порядка, т. е. скорость дополнительного перемещения, возникающая вследствие наличия шатуна конечной длины.

На рис. 1.22 даны кривые скорости поршня по углу поворота коленчатого вала. Значения углов поворота коленчатого вала, где поршень достигает максимальных значений скорости, зависят от? и ее увеличением смещаются в стороны мертвых точек.

Для практических оценок параметров двигателя используется понятие средней скорости поршня:

.

Для современных автомобильных двигателей Vср = 8–15 м/с, для тракторных – Vср = 5–9 м/с.

Ускорение поршня определяется как первая производная пути поршня по времени:

.

Рис. 1.22. Изменение скорости поршня в зависимости от угла поворота коленчатого вала

Ускорение поршня можно представить в виде суммы двух слагаемых:

где – гармонически изменяющееся ускорение поршня первого порядка;

– гармонически изменяющееся ускорение поршня второго порядка.

На рис. 1.23 даны кривые ускорения поршня по углу поворота коленчатого вала. Анализ показывает, что максимальное значение ускорения имеет место при нахождении поршня в ВМТ. При положении поршня в НМТ величина ускорения достигает минимального (наибольшего отрицательного) противоположного по знаку значения и абсолютная величина его зависит от?.

Рис 1.23. Изменение ускорения поршня в зависимости от угла поворота коленчатого вала

    1. Динамика кривошипно-шатунного механизма

Двигатели современных автомобилей и тракторов являются в большинстве случаев быстроходными, вследствие чего движущиеся детали их кривошипно-шатунного механизма перемещаются со значительными скоростями и ускорениями. В карбюраторных двигателях легковых автомобилей, например, ускорение поршня достигает 22000 м/с2, а величина средней скорости поршня – 16 м/с.

Поэтому для надежного расчета быстроходного двигателя изучение всех сил, действующих в нем, является крайне необходимым. Основные силы, действующие в автомобильных и тракторных двигателях, следующие: силы давления газов, силы инерции, силы трения и силы сопротивления.

Силы инерции масс двигателя, которые движутся с переменными по величине и направлению скоростями, имеют место как при холостом ходе, так и при работе его под нагрузкой и для некоторых деталей двигателя являются основными расчетными силами.

В зависимости от характера движения силы инерции масс кривошипно-шатунного механизма можно распределить на три группы:

  • силы инерции возвратно-поступательно движущихся масс;
  • силы инерции вращающихся масс;
  • силы инерции масс, совершающих сложное движение.

Для определения величины этих сил необходимо предварительно найти величины соответствующих масс.

<== предыдущая лекция | следующая лекция ==>
Поршневая группа | Приведение масс движущихся деталей кривошипно-шатунного механизма
Поделиться с друзьями:


Дата добавления: 2014-01-04; Просмотров: 1946; Нарушение авторских прав?; Мы поможем в написании вашей работы!


Нам важно ваше мнение! Был ли полезен опубликованный материал? Да | Нет



studopedia.su - Студопедия (2013 - 2026) год. Все материалы представленные на сайте исключительно с целью ознакомления читателями и не преследуют коммерческих целей или нарушение авторских прав! Последнее добавление




Генерация страницы за: 0.012 сек.