Студопедия

КАТЕГОРИИ:


Архитектура-(3434)Астрономия-(809)Биология-(7483)Биотехнологии-(1457)Военное дело-(14632)Высокие технологии-(1363)География-(913)Геология-(1438)Государство-(451)Демография-(1065)Дом-(47672)Журналистика и СМИ-(912)Изобретательство-(14524)Иностранные языки-(4268)Информатика-(17799)Искусство-(1338)История-(13644)Компьютеры-(11121)Косметика-(55)Кулинария-(373)Культура-(8427)Лингвистика-(374)Литература-(1642)Маркетинг-(23702)Математика-(16968)Машиностроение-(1700)Медицина-(12668)Менеджмент-(24684)Механика-(15423)Науковедение-(506)Образование-(11852)Охрана труда-(3308)Педагогика-(5571)Полиграфия-(1312)Политика-(7869)Право-(5454)Приборостроение-(1369)Программирование-(2801)Производство-(97182)Промышленность-(8706)Психология-(18388)Религия-(3217)Связь-(10668)Сельское хозяйство-(299)Социология-(6455)Спорт-(42831)Строительство-(4793)Торговля-(5050)Транспорт-(2929)Туризм-(1568)Физика-(3942)Философия-(17015)Финансы-(26596)Химия-(22929)Экология-(12095)Экономика-(9961)Электроника-(8441)Электротехника-(4623)Энергетика-(12629)Юриспруденция-(1492)Ядерная техника-(1748)

Визначення числа одиниць переносу

Для визначення числа одиниць переносу як допоміжний метод може слугувати метод визначення ступенів зміни робочих концентрацій.

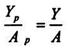
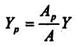
Нехай залежність між рівноважними концентраціями речовини, що розподіляється, являє собою пряму Yp=ApX, а залежність між робочими концентраціями пряму Y=AX.

Розглянемо випадок коли робоча концентрація на "вході" в елемент Y1, а на "виході" з елементу апарата Y2 - рівна рівноважній концентрації на "вході" в нього Yp1, тобто при умові Y2=Yp1 (рис. 8.7) така робочих концентрацій називається ступенем зміни концентрацій. Згідно (8.5.15) маємо:

В даному випадку

і

Отже

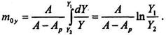
Але Y2=Yp1, а Yp1=Y1Ap/A. Таким чином

(8.7.1)

 

З рівняння (8.7.1) випливає, що лише при умові Y РРХ і Y=AX число одиниць переносу m оу, що відповідає одному ступеню зміни концентрації, є величина постійна, яка не залежить від концентрації.

Рис.8.7.1 Ступінь зміни концентрації.

 

 

Це положення дає можливість легко визначити графічним методом число одиниць переносу. Нехай (рис. 8.7) в процесі масообміну робочі концентрації змінюються в межах Y1 - Y2 і Х1 - Х2. Число ступенів зміни робочих концентрацій може бути визначено побудовою ломаної лінії між рівноважною і робочою прямими. В даному прикладі n = 4. Число одиниць переносу, що відповідає одній ступені, можна розрахувати за рівнянням (8.7.1), а загальне число одиниць переносу визначити домноженням тоу на n, тобто

(8.7.2)

Число сходинок ломаної лінії між двома прямими з кутом нахилу Ар (верхньої) і А (нижньої) виражається наступним чином: n=ln 21)/ln(Ар/А)

Цей метод визначення числа одиниць переносу і коли залежність Yp=f(X) має будь-який вигляд (рис. 8.7.2,б). В цьому випадку величина moy буде змінною.

 

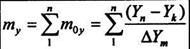
Припустимо, що в межах однієї сходинки можна з деяким приближенням прийняти існування лінійної залежності, для визначення загального числа одиниць переносу використовують рівняння

(8.7.3)

Для використання рівняння (8.7.3), попередньо графічно визначається число сходинок зміни концентрації, а також величини Уп,Yk,, ΔYn , ΔYk і ΔYm для кожної сходинки з подальшим визначенням загального числа одиниць переносу. При Δ Yr/ΔYk<2 (при Δ Yn<ΔYk) величина AYm може бути розрахована як середня арифметична.

<== предыдущая лекция | следующая лекция ==>
Модифіковане рівняння масопередачі | Основні закони масопередачі
Поделиться с друзьями:


Дата добавления: 2014-01-04; Просмотров: 971; Нарушение авторских прав?; Мы поможем в написании вашей работы!


Нам важно ваше мнение! Был ли полезен опубликованный материал? Да | Нет



studopedia.su - Студопедия (2013 - 2026) год. Все материалы представленные на сайте исключительно с целью ознакомления читателями и не преследуют коммерческих целей или нарушение авторских прав! Последнее добавление




Генерация страницы за: 0.013 сек.