Студопедия

КАТЕГОРИИ:


Архитектура-(3434)Астрономия-(809)Биология-(7483)Биотехнологии-(1457)Военное дело-(14632)Высокие технологии-(1363)География-(913)Геология-(1438)Государство-(451)Демография-(1065)Дом-(47672)Журналистика и СМИ-(912)Изобретательство-(14524)Иностранные языки-(4268)Информатика-(17799)Искусство-(1338)История-(13644)Компьютеры-(11121)Косметика-(55)Кулинария-(373)Культура-(8427)Лингвистика-(374)Литература-(1642)Маркетинг-(23702)Математика-(16968)Машиностроение-(1700)Медицина-(12668)Менеджмент-(24684)Механика-(15423)Науковедение-(506)Образование-(11852)Охрана труда-(3308)Педагогика-(5571)Полиграфия-(1312)Политика-(7869)Право-(5454)Приборостроение-(1369)Программирование-(2801)Производство-(97182)Промышленность-(8706)Психология-(18388)Религия-(3217)Связь-(10668)Сельское хозяйство-(299)Социология-(6455)Спорт-(42831)Строительство-(4793)Торговля-(5050)Транспорт-(2929)Туризм-(1568)Физика-(3942)Философия-(17015)Финансы-(26596)Химия-(22929)Экология-(12095)Экономика-(9961)Электроника-(8441)Электротехника-(4623)Энергетика-(12629)Юриспруденция-(1492)Ядерная техника-(1748)

Построение датчика псевдослучайных чисел




Примеры основных случайных величин и их характеристик

1) Случайная величина X, закон Бернулли

 

X       k n
P        

X – число появлений события А из n независимых опытов.

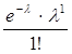
2) Закон распределения Пуассона

X         n
P

λ – среднее число соединений в единицу времени.

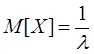
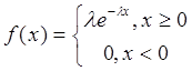
3) Показательный закон распределения непрерывной случайной величины.

 

- среднее время ожидания, f(x) – функция плотности.

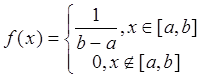
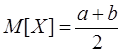
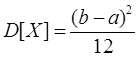
4) Равномерный закон распределения

 

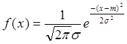
5) Нормальный закон распределения (f (x, m, σ))


,

X=x1+x2+x3+…+xn,

Если n достаточно велико, то X имеет нормальный закон распределения. При моделировании достаточно n=12.

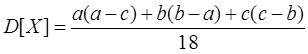
6) Закон треугольника.

 

 

Площадь под кривой для плотности распределения равна единице.

,

Применяют в тех случаях, если кривая похожа на треугольник.


Те числа, которые получаются с помощью датчика – псевдослучайные числа.

Массивы чисел, которые получаются с помощью генераторов - псевдослучайны, т.к. они получены с помощью определенных алгоритмов.

x=rand(m,n), 0≤xij≤1 распределена по равномерному закону.

 




Поделиться с друзьями:


Дата добавления: 2013-12-12; Просмотров: 401; Нарушение авторских прав?; Мы поможем в написании вашей работы!


Нам важно ваше мнение! Был ли полезен опубликованный материал? Да | Нет



studopedia.su - Студопедия (2013 - 2025) год. Все материалы представленные на сайте исключительно с целью ознакомления читателями и не преследуют коммерческих целей или нарушение авторских прав! Последнее добавление




Генерация страницы за: 0.012 сек.