Студопедия

КАТЕГОРИИ:


Архитектура-(3434)Астрономия-(809)Биология-(7483)Биотехнологии-(1457)Военное дело-(14632)Высокие технологии-(1363)География-(913)Геология-(1438)Государство-(451)Демография-(1065)Дом-(47672)Журналистика и СМИ-(912)Изобретательство-(14524)Иностранные языки-(4268)Информатика-(17799)Искусство-(1338)История-(13644)Компьютеры-(11121)Косметика-(55)Кулинария-(373)Культура-(8427)Лингвистика-(374)Литература-(1642)Маркетинг-(23702)Математика-(16968)Машиностроение-(1700)Медицина-(12668)Менеджмент-(24684)Механика-(15423)Науковедение-(506)Образование-(11852)Охрана труда-(3308)Педагогика-(5571)Полиграфия-(1312)Политика-(7869)Право-(5454)Приборостроение-(1369)Программирование-(2801)Производство-(97182)Промышленность-(8706)Психология-(18388)Религия-(3217)Связь-(10668)Сельское хозяйство-(299)Социология-(6455)Спорт-(42831)Строительство-(4793)Торговля-(5050)Транспорт-(2929)Туризм-(1568)Физика-(3942)Философия-(17015)Финансы-(26596)Химия-(22929)Экология-(12095)Экономика-(9961)Электроника-(8441)Электротехника-(4623)Энергетика-(12629)Юриспруденция-(1492)Ядерная техника-(1748)

Природная среда

Введение в корреляционный анализ. Основы регрессионного анализа

Прокомментируйте результаты своих количественных оценок и оформите их в виде таблицы.

Какая степень свободы содержится в приведенных данных?

Какая нулевая и альтернативная гипотезы Вами были приняты?

С какой достоверностью сделано Ваше утверждение?

Можно ли утверждать, что это отклонение было случайным?

Какой продавец работал лучше с точки зрения суммарной выручки?

ЗАДАНИЕ

В одной и той же торговой палатке, чередуясь по неделе, работают два разных продавца (А и В). Таблица со значениями недельной выручки (в тыс. руб.) приводится за 8 последних недель.

Ответьте, пожалуйста, на следующие вопросы:

 


Связь, которая существует между случайными величинами разной природы, например, между величиной Х и величиной Y, не обязательно является следствием прямой зависимости одной величины от другой (так называемая функциональная связь). В некоторых случаях обе величины зависят от целой совокупности разных факторов, общих для обеих величин, в результате чего и формируется связанные друг с другом закономерности. Когда связь между случайными величинами обнаружена с помощью статистики, мы не можем утверждать, что обнаружили причину происходящего изменения параметров, скорее мы лишь увидели два взаимосвязанных следствия. Например, дети, которые чаще смотрят по телевизору американские боевики, меньше читают. Дети, которые больше читают, лучше учатся. Не так-то просто решить, где тут причины, а где следствия, но это и не является задачей статистики. Статистика может лишь, выдвинув гипотезу о наличии связи, подкрепить ее цифрами. Если связь действительно имеется, говорят, что между двумя случайными величинами есть корреляция. Если увеличение одной случайной величины связано с увеличением второй случайной величины, корреляция называется прямой. Например, количество прочитанных страниц за год и средний балл (успеваемость). Если, напротив рост одной величины связано с уменьшением другой, говорят об обратной корреляции. Например, количество боевиков и количество прочитанных страниц. Взаимная связь двух случайных величин называется корреляцией, корреляционный анализ позволяет определить наличие такой связи, оценить, насколько тесна и существенна эта связь. Все это выражается количественно. Как определить, есть ли корреляция между величинами? В большинстве случаев, это можно увидеть на обычном графике. Например, по каждому ребенку из нашей выборки можно определить величину Хi (число страниц) и Yi (средний балл годовой оценки), и записать эти данные в виде таблицы. Построить оси Х и Y, а затем нанести на график весь ряд точек таким образом, чтобы каждая из них имела определенную пару координат (Хi, Yi) из нашей таблицы. Поскольку мы в данном случае затрудняемся определить, что можно считать причиной, а что следствием, не важно, какая ось будет вертикальной, а какая горизонтальной.

а)

б)

в)

Если график имеет вид а), то это говорит о наличии прямой корреляции, в случае, если он имеет вид б) - корреляция обратная. Отсутствие корреляции тоже можно приблизительно определить по виду графика - это случай в).

С помощью коэффициента корреляции можно посчитать насколько тесная связь существует между величинами.

Пусть, существует корреляция между ценой и спросом на товар. Количество купленных единиц товара в зависимости от цены у разных продавцов показано в таблице:

Видно, что мы имеем дело с обратной корреляцией. Для количественной оценки тесноты связи используют коэффициент корреляции:

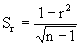
Коэффициент r мы считаем в Excel, с помощью функции fx, далее статистические функции, функция КОРРЕЛ. По подсказке программы вводим мышью в два соответствующих поля два разных массива (Х и Y). В нашем случае коэффициент корреляции получился r= - 0,988. Надо отметить, что чем ближе к 0 коэффициент корреляции, тем слабее связь между величинами. Наиболее тесная связь при прямой корреляции соответствует коэффициенту r, близкому к +1. В нашем случае, корреляция обратная, но тоже очень тесная, и коэффициент близок к -1. Что можно сказать о случайных величинах, у которых коэффициент имеет промежуточное значение? Например, если бы мы получили r=0,65. В этом случае, статистика позволяет сказать, что две случайные величины частично связаны друг с другом. Скажем на 65% влияние на количество покупок оказывала цена, а на 35% - другие обстоятельства. И еще одно важное обстоятельство надо упомянуть. Поскольку мы говорим о случайных величинах, всегда существует вероятность, что замеченная нами связь - случайное обстоятельство. Причем вероятность найти связь там, где ее нет, особенно велика тогда, когда точек в выборке мало, а при оценке Вы не построили график, а просто посчитали значение коэффициента корреляции на компьютере. Так, если мы оставим всего две разные точки в любой произвольной выборке, коэффициент корреляции будет равен или +1 или -1. Из школьного курса геометрии мы знаем, что через две точки можно всегда провести прямую линию. Для оценки статистической достоверности факта обнаруженной Вами связи полезно использовать так называемую корреляционную поправку:

Связь нельзя считать случайной, если:

В то время как задача корреляционного анализа - установить, являются ли данные случайные величины взаимосвязанными, цель регрессионного анализа - описать эту связь аналитической зависимостью, т.е. с помощью уравнения. Мы рассмотрим самый несложный случай, когда связь между точками на графике может быть представлена прямой линией. Уравнение этой прямой линии Y=аХ+b, где a=Yср.-bХср.,

Зная уравнение прямой, мы можем находить значение функции по значению аргумента в тех точках, где значение Х известно, а Y - нет. Эти оценки бывают очень нужны, но они должны использоваться осторожно, особенно, если связь между величинами не слишком тесная. Отметим также, что из сопоставления формул для b и r видно, что коэффициент не дает значение наклона прямой, а лишь показывает сам факт наличия связи.

а. природно-климатические условия.

б. флору и фауну

в. ресурсный потенциал региона

Органы власти, в настоящее время, реализуя административную реформу, вынуждены повышать информативность собственных действий.

<== предыдущая лекция | следующая лекция ==>
Значения t-критерия Стьюдента для вероятности 0,95 и 0,99 | Вторичная материальная среда
Поделиться с друзьями:


Дата добавления: 2013-12-12; Просмотров: 375; Нарушение авторских прав?; Мы поможем в написании вашей работы!


Нам важно ваше мнение! Был ли полезен опубликованный материал? Да | Нет



studopedia.su - Студопедия (2013 - 2026) год. Все материалы представленные на сайте исключительно с целью ознакомления читателями и не преследуют коммерческих целей или нарушение авторских прав! Последнее добавление




Генерация страницы за: 0.014 сек.