Студопедия

КАТЕГОРИИ:


Архитектура-(3434)Астрономия-(809)Биология-(7483)Биотехнологии-(1457)Военное дело-(14632)Высокие технологии-(1363)География-(913)Геология-(1438)Государство-(451)Демография-(1065)Дом-(47672)Журналистика и СМИ-(912)Изобретательство-(14524)Иностранные языки-(4268)Информатика-(17799)Искусство-(1338)История-(13644)Компьютеры-(11121)Косметика-(55)Кулинария-(373)Культура-(8427)Лингвистика-(374)Литература-(1642)Маркетинг-(23702)Математика-(16968)Машиностроение-(1700)Медицина-(12668)Менеджмент-(24684)Механика-(15423)Науковедение-(506)Образование-(11852)Охрана труда-(3308)Педагогика-(5571)Полиграфия-(1312)Политика-(7869)Право-(5454)Приборостроение-(1369)Программирование-(2801)Производство-(97182)Промышленность-(8706)Психология-(18388)Религия-(3217)Связь-(10668)Сельское хозяйство-(299)Социология-(6455)Спорт-(42831)Строительство-(4793)Торговля-(5050)Транспорт-(2929)Туризм-(1568)Физика-(3942)Философия-(17015)Финансы-(26596)Химия-(22929)Экология-(12095)Экономика-(9961)Электроника-(8441)Электротехника-(4623)Энергетика-(12629)Юриспруденция-(1492)Ядерная техника-(1748)

Функции аптеки

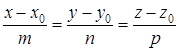
Пересечение прямой и плоскости. Условие принадлежности прямой плоскости

Пусть требуется найти точку пересечения прямой с плоскостью .

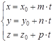
Перейдем к параметрическим уравнениям прямой .

Подставляя эти выражения для х, у, z в уравнение плоскости, получаем уравнение относительно переменной t или

. (3.4)

Еслипрямая не параллельна плоскости, т.е. , то из равенства (3.4) находим значение t:

.

Подставляя найденное значение t в параметрические уравнения прямой, найдем координаты точки пересечения прямой с плоскостью.

Если, а , то прямая параллельна плоскости.

Еслии , то уравнение (3.4) имеет вид , следовательно, прямая лежит в плоскости.

Таким образом, условие принадлежности прямой плоскости имеет вид:

. (3.5)

1. Изготовление лекарственных средств по рецептам врачей, требованиям ЛПУ, изготовление внутриаптечной заготовки и фасовка лек препаратов и лек растительного сырья.

2. Реализация населению ГЛС (в т ч гомеопатических) по рецептам и без рецептов, учреждениям здравоохранения – по требованиям и заявкам.

3. Реализация лек растительного сырья в заводской упаковке, дезинфицирующих средств, предметов личной гигиены, оптики, минеральных вод, лечебного, детского и диетического питания, косметической и парфюмерной продукции.

4. Отпуск лек препаратов бесплатно и льготно.

5. Отпуск предметов через пункт проката.

6. предоставление населению необходимой информации по применению и хранению лс в домашних условиях.

7. Информация медицинских работников, работников просвещения и других об имеющихся в аптеке лс и о новых лс.

8. Оказание первой медицинской помощи населению.

9. оказание консультативной помощи в целях ответственного самолечения.

Не допускается реализация лс и других товаров пришедших в негодность, с истекшим сроком годности, незаконных копий лс.

 

Обязательная информация торгового зала.

В торговом зале в удобных для ознакомления местах должны быть размещены:

1. копии лицензии на фармацевтическую деятельность

2. информация о телефонах и адресах органов управления здравоохранения и фармацевтической службы

3. книга отзывов и предложений

4. информация о группах населения имеющих право на б/п льготное обеспечение и внеочередное обслуживание

5. информация о лице, ответственном за лек обеспечение инвалидов ВОВ и приравненных к ним по группам

6. информация о номерах телефоноф и режиме работы справочной службы

7. информация о наименовании отделов и зон отпуска

8. информация о сроках хранения лек препаратов, изготовленных в аптеке

9. ценники на безрецептурные лс и другие товары

10. информация о сотрудниках аптеки, обслуживающих население (таблички, бейджи с указанием ФИО, должности)

11. информация о дежурном администраторе (ФИО, должность) и нахождение кнопки вызова

12. при наличии пункта проката информация о перечне предметов, выдаваемых на прокат.

13. копия (выписка) из ФЗ «О защите прав потребителей» (выписка) из «Правил продажи отдельных видов товаров» (постановление Правительства РФ № 55 от 19 января 1998 года относительно товаров не подлежащих возврату или обмену).

14. перечень лс, отпускаемых без рецепта врача

 

Помещение и оборудование аптек.

1. Аптека может быть расположена в отдельно стоящем здании или встроена в здание изолированно от других организаций.

2. аптека должна иметь вывеску с указанием:

q вида организации на русском и национальном языках: «аптека»

q информационно-правовая форма и форма собственности (ГП, ООО и др.)

q фирменное наименование (аптека «Фиалка» «Фармакор»)

q местонахождение (в соответствии с учредительными документами)

q режим работы.

q адреса и телефоны дежурных и близлежащих аптек

q Информацию о дополнительных услугах, оказываемых аптекой населению (измерение давления, определение состояния организма по ушной раковине, определение остроты зрения, подбор очков).

Вывеска должна быть на наружной стене здания.

Дежурная аптека должна иметь освещенную вывеску и звонок для вызова работника.

3. При закрытии аптеки на санитарный день, ремонт население извещается за 5 дней до закрытия.

4. состав, размеры помещений и оборудования должны соответствовать объему и характеру фармацевтической деятельности.

<== предыдущая лекция | следующая лекция ==>
Угол между прямой и плоскостью. Условия параллельности и перпендикулярности прямой и плоскости | Отпуск лекарственных препаратов
Поделиться с друзьями:


Дата добавления: 2013-12-12; Просмотров: 751; Нарушение авторских прав?; Мы поможем в написании вашей работы!


Нам важно ваше мнение! Был ли полезен опубликованный материал? Да | Нет



studopedia.su - Студопедия (2013 - 2026) год. Все материалы представленные на сайте исключительно с целью ознакомления читателями и не преследуют коммерческих целей или нарушение авторских прав! Последнее добавление




Генерация страницы за: 0.011 сек.