Студопедия

КАТЕГОРИИ:


Архитектура-(3434)Астрономия-(809)Биология-(7483)Биотехнологии-(1457)Военное дело-(14632)Высокие технологии-(1363)География-(913)Геология-(1438)Государство-(451)Демография-(1065)Дом-(47672)Журналистика и СМИ-(912)Изобретательство-(14524)Иностранные языки-(4268)Информатика-(17799)Искусство-(1338)История-(13644)Компьютеры-(11121)Косметика-(55)Кулинария-(373)Культура-(8427)Лингвистика-(374)Литература-(1642)Маркетинг-(23702)Математика-(16968)Машиностроение-(1700)Медицина-(12668)Менеджмент-(24684)Механика-(15423)Науковедение-(506)Образование-(11852)Охрана труда-(3308)Педагогика-(5571)Полиграфия-(1312)Политика-(7869)Право-(5454)Приборостроение-(1369)Программирование-(2801)Производство-(97182)Промышленность-(8706)Психология-(18388)Религия-(3217)Связь-(10668)Сельское хозяйство-(299)Социология-(6455)Спорт-(42831)Строительство-(4793)Торговля-(5050)Транспорт-(2929)Туризм-(1568)Физика-(3942)Философия-(17015)Финансы-(26596)Химия-(22929)Экология-(12095)Экономика-(9961)Электроника-(8441)Электротехника-(4623)Энергетика-(12629)Юриспруденция-(1492)Ядерная техника-(1748)

Вывод преобразований Лоренца

Для вывода преобразований Лоренца рассмотрим в двух системах отсчета мысленный опыт. Одна система К - неподвижна, другая К' движется вдоль оси х со скоростью V. Пусть в момент времени t = t' = 0, когда начала систем координат совпадали, в этом начале произошла вспышка света и стала распространяться сферическая световая волна. В соответствии с постулатом I фронт этой волны будет сферой в обеих системах отсчета, сфера эта будет, в соответствии с постулатом II, увеличивать свой радиус со скоростью света и в той, и в другой системе отсчета.

Опираясь на эти требования, найдем вид правильных преобразований координат и времени. В качестве пробного возьмем преобразование Галилея, а затем его подправим.
Фронт световой волны в системе К - это сфера радиуса ct:

x2 + y2 + z2 = c2t2:

В системе К' уравнение фронта этой волны, в соответствии с постулатами I и II

(x')2+(y')2+(z')2=c2 (t')2,

пробуем преобразования Галилея, переходим в К:

(x')2 = (x - Vt)2,
(y')2 = y2,
(z')2 = z2,
(t')2 = t2,

отсюда следует:

x2 - 2Vxt + V 2 t 2 + y2 + z2 = c2t2,

сравните с

(x')2+(y')2+(z')2 = c2(t')2.

Появились ЛИШНИЕ ЧЛЕНЫ, надо так изменить преобразования, чтобы они исчезли.
Пробуем преобразования:

x' = x- Vt, y'=y, z'=z, t'=t-αx

x2 - 2Vxt + V2t2 + y2 + z2 = c2t2 - 2c 2 αxt + c2α2x2

приравниваем подчеркнутые члены,
получаем:

При таком α остается:

Перегруппируем члены:

Подправим преобразование так, чтобы исчезли выражения в скобках, для этого возьмем

Такие преобразования сохраняют вид уравнения фронта световой волны, сфера преобразуется в сферу, в соответствии с постулатами С.Т.О.
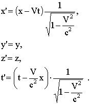
Обозначим, для удобства записи,

тогда преобразования Лоренца запишутся так:

а) прямые   б) обратные
;   ;
;   ;
;   ;
;   .

 

<== предыдущая лекция | следующая лекция ==>
Никакими физическими опытами нельзя установить, покоится ли данная система отсчета, либо движется равномерно и прямолинейно | Длина тела в разных системах отсчета
Поделиться с друзьями:


Дата добавления: 2013-12-12; Просмотров: 2221; Нарушение авторских прав?; Мы поможем в написании вашей работы!


Нам важно ваше мнение! Был ли полезен опубликованный материал? Да | Нет



studopedia.su - Студопедия (2013 - 2026) год. Все материалы представленные на сайте исключительно с целью ознакомления читателями и не преследуют коммерческих целей или нарушение авторских прав! Последнее добавление




Генерация страницы за: 0.009 сек.