Студопедия

КАТЕГОРИИ:


Архитектура-(3434)Астрономия-(809)Биология-(7483)Биотехнологии-(1457)Военное дело-(14632)Высокие технологии-(1363)География-(913)Геология-(1438)Государство-(451)Демография-(1065)Дом-(47672)Журналистика и СМИ-(912)Изобретательство-(14524)Иностранные языки-(4268)Информатика-(17799)Искусство-(1338)История-(13644)Компьютеры-(11121)Косметика-(55)Кулинария-(373)Культура-(8427)Лингвистика-(374)Литература-(1642)Маркетинг-(23702)Математика-(16968)Машиностроение-(1700)Медицина-(12668)Менеджмент-(24684)Механика-(15423)Науковедение-(506)Образование-(11852)Охрана труда-(3308)Педагогика-(5571)Полиграфия-(1312)Политика-(7869)Право-(5454)Приборостроение-(1369)Программирование-(2801)Производство-(97182)Промышленность-(8706)Психология-(18388)Религия-(3217)Связь-(10668)Сельское хозяйство-(299)Социология-(6455)Спорт-(42831)Строительство-(4793)Торговля-(5050)Транспорт-(2929)Туризм-(1568)Физика-(3942)Философия-(17015)Финансы-(26596)Химия-(22929)Экология-(12095)Экономика-(9961)Электроника-(8441)Электротехника-(4623)Энергетика-(12629)Юриспруденция-(1492)Ядерная техника-(1748)

Поток вектора напряжeнности электрического поля

Теорема Гаусса

Линии напряженности точечных зарядов

а) поле положительного заряда   б) поле отрицательного заряда

 

в) поле двух разноименных зарядов   г) поле двух одноименных зарядов

9.4.1.1. - Поток вектора для однородного поля

Для


Здесь - вектор нормали к поверхности S.

9.4.1.2. Поток вектора через бесконечно малую площадку в неоднородном поле

Как и в (9.4.1.1):

 

9.4.1.3. Поток вектора через произвольную поверхность в неоднородном поле

9.4.1.4. Поток пропорционален числу силовых линий
Ф пропорционален числу линий напряженности, проходящих через площадь S (9.3.3) и (9.3.8)

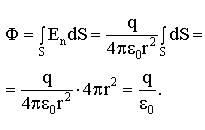
9.4.2. Поток вектора через сферу (для поля точечного заряда).

9.4.2.1. Заряд - в центре сферы
На поверхности сферы поле постоянно по величине (9.3.7.):

.

В любой точке сферы поле направлено перпендикулярно ее поверхности, т.е.

.

Из (9.4.1.3):

 

Мы получили, что:

.

<== предыдущая лекция | следующая лекция ==>
Линии напряженности | Поток вектора Е для поля, созданного зарядами, находящимися вне замкнутой поверхности
Поделиться с друзьями:


Дата добавления: 2013-12-12; Просмотров: 382; Нарушение авторских прав?; Мы поможем в написании вашей работы!


Нам важно ваше мнение! Был ли полезен опубликованный материал? Да | Нет



studopedia.su - Студопедия (2013 - 2025) год. Все материалы представленные на сайте исключительно с целью ознакомления читателями и не преследуют коммерческих целей или нарушение авторских прав! Последнее добавление




Генерация страницы за: 0.012 сек.