Студопедия

КАТЕГОРИИ:


Архитектура-(3434)Астрономия-(809)Биология-(7483)Биотехнологии-(1457)Военное дело-(14632)Высокие технологии-(1363)География-(913)Геология-(1438)Государство-(451)Демография-(1065)Дом-(47672)Журналистика и СМИ-(912)Изобретательство-(14524)Иностранные языки-(4268)Информатика-(17799)Искусство-(1338)История-(13644)Компьютеры-(11121)Косметика-(55)Кулинария-(373)Культура-(8427)Лингвистика-(374)Литература-(1642)Маркетинг-(23702)Математика-(16968)Машиностроение-(1700)Медицина-(12668)Менеджмент-(24684)Механика-(15423)Науковедение-(506)Образование-(11852)Охрана труда-(3308)Педагогика-(5571)Полиграфия-(1312)Политика-(7869)Право-(5454)Приборостроение-(1369)Программирование-(2801)Производство-(97182)Промышленность-(8706)Психология-(18388)Религия-(3217)Связь-(10668)Сельское хозяйство-(299)Социология-(6455)Спорт-(42831)Строительство-(4793)Торговля-(5050)Транспорт-(2929)Туризм-(1568)Физика-(3942)Философия-(17015)Финансы-(26596)Химия-(22929)Экология-(12095)Экономика-(9961)Электроника-(8441)Электротехника-(4623)Энергетика-(12629)Юриспруденция-(1492)Ядерная техника-(1748)

Поток вектора Е для поля, созданного зарядами, находящимися вне замкнутой поверхности

Поток вектора Е поля системы зарядов, находящихся внутри замкнутой поверхности

Заряд в произвольном месте внутри сферы

.

Поток Ф пропорционален числу силовых линий, проходящих через сферу, а их число не изменяется при изменении положения заряда внутри сферы, т.е. поток тоже будет постоянным:

.

9.4.2.3. Поток вектора поля точечного заряда через "измятую" сферу - произвольную поверхность
Число проходящих через "измятую" сферу силовых линий не изменилось, т.е.

.

Эта формула верна для потока вектора Е поля точечного заряда, расположенного ВНУТРИ замкнутой поверхности произвольной формы.


"Измятая" сфера:

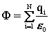
Т.к. (9.3.6), то по (9.4.1.3) и (9.4.2.3) Для произвольного числа зарядов N: - алгебраическая сумма зарядов, находящихся внутри замкнутой поверхности, делённая на ε0.

 

Силовая линия дважды проходит через замкнутую поверхность, один раз она учитывается со знаком "+", другой раз - со знаком "-". В результате поток в этом случае Ф = 0.

 

<== предыдущая лекция | следующая лекция ==>
Поток вектора напряжeнности электрического поля | Поле равномерно заряженной бесконечной плоскости
Поделиться с друзьями:


Дата добавления: 2013-12-12; Просмотров: 312; Нарушение авторских прав?; Мы поможем в написании вашей работы!


Нам важно ваше мнение! Был ли полезен опубликованный материал? Да | Нет



studopedia.su - Студопедия (2013 - 2025) год. Все материалы представленные на сайте исключительно с целью ознакомления читателями и не преследуют коммерческих целей или нарушение авторских прав! Последнее добавление




Генерация страницы за: 0.012 сек.