Студопедия

КАТЕГОРИИ:


Архитектура-(3434)Астрономия-(809)Биология-(7483)Биотехнологии-(1457)Военное дело-(14632)Высокие технологии-(1363)География-(913)Геология-(1438)Государство-(451)Демография-(1065)Дом-(47672)Журналистика и СМИ-(912)Изобретательство-(14524)Иностранные языки-(4268)Информатика-(17799)Искусство-(1338)История-(13644)Компьютеры-(11121)Косметика-(55)Кулинария-(373)Культура-(8427)Лингвистика-(374)Литература-(1642)Маркетинг-(23702)Математика-(16968)Машиностроение-(1700)Медицина-(12668)Менеджмент-(24684)Механика-(15423)Науковедение-(506)Образование-(11852)Охрана труда-(3308)Педагогика-(5571)Полиграфия-(1312)Политика-(7869)Право-(5454)Приборостроение-(1369)Программирование-(2801)Производство-(97182)Промышленность-(8706)Психология-(18388)Религия-(3217)Связь-(10668)Сельское хозяйство-(299)Социология-(6455)Спорт-(42831)Строительство-(4793)Торговля-(5050)Транспорт-(2929)Туризм-(1568)Физика-(3942)Философия-(17015)Финансы-(26596)Химия-(22929)Экология-(12095)Экономика-(9961)Электроника-(8441)Электротехника-(4623)Энергетика-(12629)Юриспруденция-(1492)Ядерная техника-(1748)

Добавочные минимумы, ближайшие к главным максимумам




Минимумы интенсивности дифракционной картины решетки

Формально получить условия на φ при которых будут наблюдаться минимумы можно, если проанализировать на минимум только что полученное выражение I(φ). Анализ дает следующие результаты:

а) - это условие минимума для щели (19.3.2.2);

б) - это условие главного минимума для решетки. При выполнении этого условия колебания от соседних щелей приходят в точку P в противофазе и попарно гасят друг друга;

в) - целое число не кратное N.

Это условие добавочных минимумов. При k' кратном N получим условие максимума.

При выполнении условия добавочных минимумов векторная диаграмма сложения колебаний от N щелей замыкается: конец N-го вектора попадает в начало 1-го и результирующая амплитуда равна нулю. На рисунке ниже изображена эта ситуация для N = 6 (рис. а), k' = 1 и k' = 2 (рис. б). При k' = 2 векторы A1 и A4, A2 и A5, A3 и A6 расположены в одном месте.

 

Если в условии добавочных минимумов (19.4.2.1,в) положить k' = 1, N ±1, 2N ±1,┘, т.е. k' = mN ±1, m = 0, 1, 2, ┘, то получим условие для добавочных минимумов, ближайших к главным максимумам порядка m:

При разности хода d·Sinφ равной ±mλ наблюдается главный максимум порядка m. Добавка к разности хода величины λ/N дает условие минимума, ближайшего к главному максимуму. Эта добавка тем меньше, чем больше N - число щелей решетки, принимающих участие в образовании интерференционной картины. У хороших решеток d ≈ 10-6 м и при длине решетки lр = 1 см число щелей N = lр/d = 10000, что дает очень узкие главные максимумы, необходимые в спектральных приборах.

 

19.4.3. График интенсивности Ip(Sinφ)

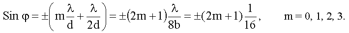
Для наглядности графика возьмем решетку с очень малым числом щелей, N = 4. Пусть, для определенности, постоянная решетки d в четыре раза больше ширины щели b, т.е. d = 4b, а длина волны λ = b/2. Найдем значения Sinφ, при которых будут наблюдаться максимумы и минимумы от нашей решетки:

Минимумы для щели (19.4.2.1,а):

Главные максимумы решетки (19.4.1):

Главные минимумы решетки:

Добавочные минимумы решетки:

Зависимость интенсивности дифракционной картины от Sinφ изображена на рисунке (расположенном ниже) сплошной линией. Бледная линия - огибающая дифракционной картины - это интенсивность дифракционной картины от одной щели, помноженная на N2 = 42 = 16.

 

 




Поделиться с друзьями:


Дата добавления: 2013-12-12; Просмотров: 3242; Нарушение авторских прав?; Мы поможем в написании вашей работы!


Нам важно ваше мнение! Был ли полезен опубликованный материал? Да | Нет



studopedia.su - Студопедия (2013 - 2025) год. Все материалы представленные на сайте исключительно с целью ознакомления читателями и не преследуют коммерческих целей или нарушение авторских прав! Последнее добавление




Генерация страницы за: 0.007 сек.