Студопедия

КАТЕГОРИИ:


Архитектура-(3434)Астрономия-(809)Биология-(7483)Биотехнологии-(1457)Военное дело-(14632)Высокие технологии-(1363)География-(913)Геология-(1438)Государство-(451)Демография-(1065)Дом-(47672)Журналистика и СМИ-(912)Изобретательство-(14524)Иностранные языки-(4268)Информатика-(17799)Искусство-(1338)История-(13644)Компьютеры-(11121)Косметика-(55)Кулинария-(373)Культура-(8427)Лингвистика-(374)Литература-(1642)Маркетинг-(23702)Математика-(16968)Машиностроение-(1700)Медицина-(12668)Менеджмент-(24684)Механика-(15423)Науковедение-(506)Образование-(11852)Охрана труда-(3308)Педагогика-(5571)Полиграфия-(1312)Политика-(7869)Право-(5454)Приборостроение-(1369)Программирование-(2801)Производство-(97182)Промышленность-(8706)Психология-(18388)Религия-(3217)Связь-(10668)Сельское хозяйство-(299)Социология-(6455)Спорт-(42831)Строительство-(4793)Торговля-(5050)Транспорт-(2929)Туризм-(1568)Физика-(3942)Философия-(17015)Финансы-(26596)Химия-(22929)Экология-(12095)Экономика-(9961)Электроника-(8441)Электротехника-(4623)Энергетика-(12629)Юриспруденция-(1492)Ядерная техника-(1748)

Связь энергии и импульса




Классическая частица будет двигаться





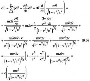
Исходя из (9.6), определим энергию свободной
частицы как


Дело в том, что при выборе const = -me2
преобразование Лоренца для скорости не
переходило бы в формулу сложения скоростей в
классической механике.

Обсудим теперь некоторые следствия из
полученных формул. Во первых, из определения
импульса (9.2) и энергии частицы (9.7) следует, что
импульс частицы связан с ее энергией
соотношением

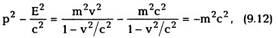
Из этой формулы следует, в частности, что,
если какая —либо частица может двигаться со
скоростью v = c, то ее импульс связан с энергией
по формуле

Далее, возводя (9.2) в квадрат и вычитая из
полученного выражения Е22, получим


 





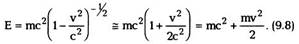
Второе слагаемое в (9.8) совпадает с
кинетической энергией частицы в классической
механике. Однако, при v = 0 энергия свободной
частицы (энергия покоя)

оказывается отличной от нуля. Таким образом,
СТО приводит к новому, весьма важному выводу:
всякая частица или тело, обладающее массой т.

о бладает вместе с тем энергией покоя тс2.
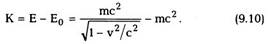
Естественно тогда определить кинетическую
энергию частицы в СТО, как



Это выражение переходит в классическое,
если скорость частицы v «с. На первый взгляд
может показаться, что определение энергии (9.7)
является произвольным. Поскольку энергия
найдена из дифференциального соотношения (9.6),
ее можно определить как

таким образом энергия при v«с будет
совпадать с кинетической энергией частицы в
классической механике. В действительности,
однако, легко показать, что константу следует
положить равной нулю, как это было сделано в
(9.7).


лекции), инвариантной относительно

преобразований Лоренца, так как справа в (9.12)
стоит масса частицы, одинаковая во всех ИСО.
Отсюда следует, что при переходе от системы К к
системе К' (или наоборот) компоненты импульса

x,y,z и t. Делая в (8.7) соответствующие замены,
получим:




Поделиться с друзьями:


Дата добавления: 2013-12-12; Просмотров: 958; Нарушение авторских прав?; Мы поможем в написании вашей работы!


Нам важно ваше мнение! Был ли полезен опубликованный материал? Да | Нет



studopedia.su - Студопедия (2013 - 2026) год. Все материалы представленные на сайте исключительно с целью ознакомления читателями и не преследуют коммерческих целей или нарушение авторских прав! Последнее добавление




Генерация страницы за: 0.007 сек.