Студопедия

КАТЕГОРИИ:


Архитектура-(3434)Астрономия-(809)Биология-(7483)Биотехнологии-(1457)Военное дело-(14632)Высокие технологии-(1363)География-(913)Геология-(1438)Государство-(451)Демография-(1065)Дом-(47672)Журналистика и СМИ-(912)Изобретательство-(14524)Иностранные языки-(4268)Информатика-(17799)Искусство-(1338)История-(13644)Компьютеры-(11121)Косметика-(55)Кулинария-(373)Культура-(8427)Лингвистика-(374)Литература-(1642)Маркетинг-(23702)Математика-(16968)Машиностроение-(1700)Медицина-(12668)Менеджмент-(24684)Механика-(15423)Науковедение-(506)Образование-(11852)Охрана труда-(3308)Педагогика-(5571)Полиграфия-(1312)Политика-(7869)Право-(5454)Приборостроение-(1369)Программирование-(2801)Производство-(97182)Промышленность-(8706)Психология-(18388)Религия-(3217)Связь-(10668)Сельское хозяйство-(299)Социология-(6455)Спорт-(42831)Строительство-(4793)Торговля-(5050)Транспорт-(2929)Туризм-(1568)Физика-(3942)Философия-(17015)Финансы-(26596)Химия-(22929)Экология-(12095)Экономика-(9961)Электроника-(8441)Электротехника-(4623)Энергетика-(12629)Юриспруденция-(1492)Ядерная техника-(1748)

Длительность охлаждения продуктов




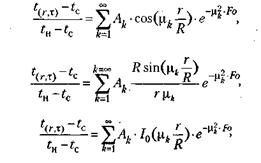
На основе решения дифференциальных уравнений теплопроводности Фурье для тел стандартной стереометрической формы (пластины, шара, цилиндра), получены аналитические зависимости. Решение задачи для пластины представлено выражением (1), для шара - (2), цилиндра (3).

Левая часть равенства представляет собой безразмерную избыточную температуру (Ө), правая - ряд Фурье, число членов которого в интервале от к = 1 до к=зависит от необходимой точности оценки , с.

где t(r,x), °C - температура в любой точке продукта на отрезке г, м, за время , с;

r -текущая координата точки;

R - характерный геометрический размер продукта (половина толщины - для пластины, и радиус - для шара и цилиндра). Для поверхности продукта значение t(r,) преобразуется в t(R,).

Для центра r = 0;

tc - температура теплоотводящей среды, °С;

I0(х)- модифицированная функция Бесселя нулевого порядка I-го рода;

Ак и цк - коэффициенты ряда Фурье (Fo) и корни соответствующих характеристических уравнений. Ак и цк находят по величине числа Bi из справочника приложения(для пластины, для шара).

Теплофизические характеристики продуктов

Вид продукта Плотность продукта ,кг/м Удельная теплоёмкость ,кДж/кг*К Теплопроводность ,Вт/(м*К)
Говядина: обезжиренная свинина баранина     3,35   0,45
Говядина жирная   2,51 0,4
Свинина жирная   2,18 0,4
Треска   2,2 0,46
Филе трески   3,52 0,48
Масло сливочное   2,1 0,23
Картофель   3,5 0,6
Морковь   3,9 0,61
Свекла   3,9 0,6

Для выражения при

Для основных продуктов значения величин теплофизические характеристики продуктов отражены в таблице. Более полно теплофизические характеристики продуктов представлены в специализированной справочной литературе.

, где

-число Фурье, учитывающее нестационарность охлаждения продукта.

t- длительность охлаждения, с.

Коэффициент температуропроводности находится из выражения

Критерий подобия, учитывающий взаимосвязь переноса тепла к поверхности продукта и от его поверхности к теплоотводящей среде, называют числом Био:

где а - коэффициент теплоотдачи от поверхности продукта к теплоотводящей среде, Вт/(м2 • К). Приближенно коэффициент теплоотдачи находится из.

Вт/(м2 *К)

где v - скорость движения воздуха, м/с;

- теплопроводность продукта, Вт/(м*К).

Более корректно и точно коэффициент теплоотдачи устанавливается на основе критериев, описывающих условия теплообмена про­дукта с теплоотводящей средой:

,

где Nu - число Нуссельта (критерий подобия);

- теплопроводность воздуха, Вт/(м • К).

При оценке величины коэффициента теплоотдачи от поверхности продукта к теплоотводящей среде определяющий размер продукта L принимается с учетом направления потока теплоотводящей среды. Для продукта, форма которого подобна пластине, при движении воздуха вдоль поверхности тела за определяющий размер принимается размер тела в направлении потока среды, для тела, форма которого подобна шару и цилиндру, принимается определяющий размер тела. Для шара и цилиндра при условии их поперечного обтекания потоком воздуха определяющими размерами является радиус тел.

Число Нуссельта (Nu) является функцией числа Рейнольдса (учитывает условия течения теплоотводящей среды).

В случае продольного обтекания плоской пластины турбулентным потоком воздуха

при ламинарном обтекания плоской пластины

при поперечном обтекании одиночных цилиндров

при обтекании потоком воздуха тела, форма которого шар

Из всего из этого следует

где

- скорость движения воздуха, м/с;

- кинематическая вязкость воздуха, (=13*10-6, м2/с)

Для тел с влажной поверхностью коэффициент теплоотдачи зависит от скорости движения воздуха вдоль продукта. Например, коэффициент теплоотдачи от поверхности продукта, форма которого подобна параллелепипеду, полученный экспериментально, отличается от расчетной величины при скорости движения воздуха 0,4 м/с в 2,4 раза, при скорости 1,3 м/с в 2,1 раза, при скорости 2,2 м/с отличия нет. Математически эта зависимость приближенно описывается полиномом вида:

, Вт/м2

В том случае, если есть радиационная составляющая теплообмена, коэффициент теплоотдачи от поверхности продукта выражают суммой двух величин: конвекции и излучения

На практике лучистую составляющую теплообмена учитывают лишь при реализации технических проектов, в которых лучистому теплообмену отводится решающая роль, например при проектировании специализированных камер на мясокомбинатах для замораживания мяса.

Особенность в оценке длительности охлаждения продукта состоит в том, что решение «прямой» задачи по известной температуре в любой точке объема продукта обеспечивает достоверный результат, если . Это означает, что расчетная и реальная длительности процесса будут эквивалентны, если, например, длительность охлаждения составит более 1,5 часа при геометрическом размере продукта не менее 0,025 м.

Для приближенной оценки длительности тела любой стереометрической формы используют номограммы (рис. 3.1).

Семейство кривых в номограмме представлено для различных значений безразмерного комплекса

Существует множество предложенных решений, позволяющих оценить длительность охлаждения продуктов. Одним из удачных решений является решение А. Фикиина:

час

Где - длительность охлаждения продукта;

А - эмпирический множитель. Для продукта в виде пластины А = 1, в виде цилиндра А = 1/2, в виде шара А = 1/3;

tц температура в центре продукта, °С.

Погрешность в оценке длительности охлаждения составляет не более ±3% от реальной длительности процесса.

Длительность охлаждения можно оценивать на основе закона регулярного теплового режима.




Поделиться с друзьями:


Дата добавления: 2013-12-12; Просмотров: 791; Нарушение авторских прав?; Мы поможем в написании вашей работы!


Нам важно ваше мнение! Был ли полезен опубликованный материал? Да | Нет



studopedia.su - Студопедия (2013 - 2026) год. Все материалы представленные на сайте исключительно с целью ознакомления читателями и не преследуют коммерческих целей или нарушение авторских прав! Последнее добавление




Генерация страницы за: 0.01 сек.