Студопедия

КАТЕГОРИИ:


Архитектура-(3434)Астрономия-(809)Биология-(7483)Биотехнологии-(1457)Военное дело-(14632)Высокие технологии-(1363)География-(913)Геология-(1438)Государство-(451)Демография-(1065)Дом-(47672)Журналистика и СМИ-(912)Изобретательство-(14524)Иностранные языки-(4268)Информатика-(17799)Искусство-(1338)История-(13644)Компьютеры-(11121)Косметика-(55)Кулинария-(373)Культура-(8427)Лингвистика-(374)Литература-(1642)Маркетинг-(23702)Математика-(16968)Машиностроение-(1700)Медицина-(12668)Менеджмент-(24684)Механика-(15423)Науковедение-(506)Образование-(11852)Охрана труда-(3308)Педагогика-(5571)Полиграфия-(1312)Политика-(7869)Право-(5454)Приборостроение-(1369)Программирование-(2801)Производство-(97182)Промышленность-(8706)Психология-(18388)Религия-(3217)Связь-(10668)Сельское хозяйство-(299)Социология-(6455)Спорт-(42831)Строительство-(4793)Торговля-(5050)Транспорт-(2929)Туризм-(1568)Физика-(3942)Философия-(17015)Финансы-(26596)Химия-(22929)Экология-(12095)Экономика-(9961)Электроника-(8441)Электротехника-(4623)Энергетика-(12629)Юриспруденция-(1492)Ядерная техника-(1748)

Тепловое излучение. Формула Планка




Лекция 3.10.

Тепловое излучение и люминесценция

Излучение телами электромагнитных волн (свечение тел) может осуществляться за счет различных видов энергии. Самым распространенным является тепловое излучение, т. е. испускание электромагнитных волн за счет внутренней энергии тел. Все остальные виды свечения, возбуждаемые за счет любого вида энергии, кроме внутренней (тепловой), объединяются под общим названием «люминесценция».

Окисляющийся на воздухе фосфор светится за счет энергии, выделяемой при химическом превращении. Такой вид свечения называется хемилюминесценцией. Свечение, возникающее в газах и твердых телах под воздействием электрического поля, называется электролюминесценцией. Свечение твердых тел, вызванное бомбардировкой их электронами, называют катодолюминесценцией. Свечение, возбуждаемое поглощаемым телом электромагнитным излучением, называется фотолюминесценцией.

Тепловое излучение имеет место при любой температуре, однако при невысоких температурах излучаются практически лишь длинные (инфракрасные) электромагнитные волны.

Окружим излучающее тело оболочкой с идеально отражающей поверхностью (рис. 3.10.1). Воздух из оболочки удалим. Отраженное оболочкой излучение, упав на тело, поглотится им (частично или полностью). Следовательно, будет происходить непрерывный обмен энергией между телом и заполняющим оболочку излучением. Если распределение энергии между телом и излучением остается неизменным для каждой длины волны, состояние системы тело — излучение будет равновесным. Опыт показывает, что единственным видом излучения, которое может находиться Рис.3.10.1.

в равновесии с излучающими телами, является тепловое

излучение. Все остальные виды излучения оказываются неравновесными.

Способность теплового излучения находиться в равновесии с излучающими телами обусловлена тем, что его интенсивность возрастает при повышении температуры. Допустим, что равновесие между телом и излучением нарушено и тело излучает энергии больше, чем поглощает. Тогда внутренняя энергия тела будет убывать, что приведет к понижению температуры. Это в свою очередь обусловит уменьшение количества излучаемой телом энергии. Температура тела будет понижаться до тех пор, пока количество излучаемой телом энергии не станет равным количеству поглощаемой энергии. Если равновесие нарушится в другую сторону, т. е. количество излучаемой энергии окажется меньше, чем поглощаемой, температура тела будет возрастать до тех пор, пока снова не установится равновесие. Таким образом, нарушение равновесия в системе тело — излучение вызывает возникновение процессов, восстанавливающих равновесие.

Иначе обстоит дело в случае люминесценции. Покажем это на примере хемилюминесценции. Пока протекает обусловливающая излучение химическая реакция, излучающее тело все больше и больше удаляется от первоначального состояния. Поглощение телом излучения не изменит направления реакции, а наоборот, приведет к более быстрому (вследствие нагревания) протеканию реакции в первоначальном направлении. Равновесие установится лишь тогда, когда будет израсходован весь запас реагирующих веществ и свечение, обусловленное химическими процессами, заменится тепловым излучением.

Итак, из всех видов излучения равновесным может быть только тепловое излучение. К равновесным состояниям и процессам применимы законы термодинамики. Поэтому тепловое излучение должно подчиняться некоторым общим закономерностям, вытекающим из принципов термодинамики. К рассмотрению этих закономерностей мы и перейдем.

 

Характеристики излучения и излучающего тела.

Обозначим через u плотность энергии излучения, т.е. количество энергии в единице объема. Излучение представляет собой совокупность волн различных частот (бегущих или стоячих). Поскольку плотность энергии излучения разной частоты различна, обозначим объемную плотность лучистой энергии, приходящийся на интервал частот . Очевидно, что

. (3.10.1)

Интенсивность теплового излучения мы будем характеризовать величиной потока энергии, измеряемой в ваттах. Энергия излучения связана с излучающим телом. Поток энергии, испускаемый единицей поверхности излучающего тела по всем направлениям (в пределах телесного угла 2π), называют энергетической светимостью тела. Мы будем обозначать эту величину буквой R. Энергетическая светимость является функцией температуры.

Излучение состоит из волн различных частот ω (или длин ). Обозначим поток энергии, испускаемый единицей поверхности тела в интервале частот d ω, через dR ω. При малом интервале d ω поток dR ω будет пропорционален d ω:

. (3.10.2)

Величина rω называется испускательной способностью тела. Как и энергетическая светимость, испускательная способность сильно зависит от температуры тела. Таким образом, rω есть функция частоты и температуры. Испускательная способность это поток энергии, излучаемый единицей поверхности тела во всех направлениях в единичном интервале частот вблизи .

Энергетическая светимость связана с испускательной способностью формулой

(3.10.3)

(чтобы подчеркнуть, что энергетическая светимость и испускательная способность зависят от температуры, мы их снабдили индексом Т).

Излучение можно характеризовать вместо частоты ω длиной волны. Участку спектра d ω будет соответствовать интервал длин волн d λ. Определяющие один и тот же участок величины d ω и d λ связаны простым соотношением, вытекающим из формулы λ=2π c /ω. Дифференцирование дает:

. (3.10.4)

Знак минус в этом выражении не имеет существенного значения, он лишь указывает на то, что с возрастанием одной из величин, ω или λ, другая величина убывает. Поэтому минус в дальнейшем мы не будем писать.

Доля энергетической светимости, приходящаяся на интервал d λ, может быть по аналогии с (3.10.2) представлена в виде:

. (3.10.5)

Если интервалы d ω и d λ, входящие в выражения (3.10.2) и (3.10.5), связаны соотношением (3.10.4), т. е. относятся к одному и тому же участку спектра, то величины dR ω и dR λ должны совпадать:

Заменив в последнем равенстве d λ согласно (3.10.4), получим

откуда

. (3.10.6)

С помощью формулы (3.10.6) можно перейти от r λ к r ω и наоборот.

Пусть на элементарную площадку поверхности тела падает поток лучистой энергии d Фω, обусловленный электромагнитными волнами, частота которых заключена в интервале d ω. Часть этого потока d Ф’ω будет поглощена телом, Безразмерная величина

(3.10.7)

называется поглощательной способностью тела. Поглощательная способность тела есть функция частоты и температуры. Поглощательная способность это доля энергии, поглощенная телом из падающего на него потока.

По определению a ω T не может быть больше единицы. Для тела, полностью поглощающего упавшее на него излучение всех частот, a ω T = 1. Такое тело называется абсолютно черным. Будем в дальнейшем обозначать испускательную и поглощательную способность абсолютно черного тела и . Тело, для которого a ω T aT =const<1, называют с ерым. Если = 0, это или абсолютно прозрачное тело или абсолютно зеркальное.

 

 

Закон Кирхгофа.

Между испускательной и поглощательной способностями любого тела имеется связь. В этом можно убедиться, рассмотрев следующий эксперимент. Пусть внутри замкнутой оболочки, поддерживаемой при постоянной температуре Т, помещены несколько тел (рис.3.10.2). Полость внутри оболочки эвакуирована

(там отсутствуют молекулы какого-либо вещества), так что тела могут обмениваться энергией между собой и с оболочкой лишь путем испускания и поглощения электромагнитных волн. Опыт показывает, что такая система через некоторое время придет в состояние теплового равновесия — все тела примут одну и ту же температуру, равную температуре оболочки Т. В Рис.3.10.2.

таком состоянии тело, обладающее бóльшей испускательной

способностью r ω T , теряет в единицу времени с единицы поверхности больше энергии, чем тело, обладающее меньшей r ω T . Поскольку температура (а, следовательно, и энергия) тел не меняется, то тело, испускающее больше энергии, должно и больше поглощать, т. е. обладать большей a ω T . Таким образом, чем больше испускательная способность тела r ω T , тем больше и его поглощательная способность a ω T . Отсюда вытекает соотношение

, (3.10.8)

где индексы 1, 2, 3 и т. д. относятся к разным телам.

Соотношение (3.10.8) выражает установленный Кирхгофом закон, который формулируется следующим образом: отношение испускательной и поглощательной способностей не зависит от природы тела, оно является для всех тел одной и той же (универсальной) функцией частоты (длины волны) и температуры:

. (3.10.9)

Сами величины r ω T и a ω T могут меняться чрезвычайно сильно при переходе от одного тела к другому. Отношение же их оказывается одинаковым для всех тел. Это означает, что тело, сильнее поглощающее какие-либо лучи, будет эти лучи сильнее и испускать (не следует смешивать испускание лучей с их отражением). Функция называется функцией Кирхгофа.

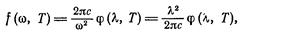
Для абсолютно черного тела по определению a ω T = 1. Следовательно, из формулы (3.10.9) вытекает, что r ω T для такого тела равна f (ω, Т). Таким образом, универсальная функция Кирхгофа f(ω, Т) есть не что иное, как испускательная способность абсолютно черного тела

При теоретических исследованиях для характеристики спектрального состава равновесного теплового излучения удобнее пользоваться функцией частоты f (ω, Т). В экспериментальных работах удобнее пользоваться функцией длины волны φ(λ, Т). Обе функции связаны друг с другом формулой

(3.10.10)

аналогичной формуле (3.10.6). Согласно (3.10.10) для того, чтобы по известной функции f (ω, Т) найти φ(λ, Т), нужно заменить в f (ω, Т) частоту ω через 2π с /λ и получившееся выражение умножить на 2π с2:

(3.10.11)

Для нахождения f (ω, Т) по известной φ(λ, Т) нужно воспользоваться соотношением

(3.10.12)

Абсолютно черных тел в природе не существует. Сажа или платиновая чернь имеют поглощательную способность a ω T , близкую к единице, лишь в ограниченном интервале частот; в далекой инфракрасной области их поглощательная способность заметно меньше единицы. Однако можно создать устройство, сколь угодно близкое по своим свойствам к абсолютно черному телу. Такое устройство представляет собой почти замкнутую полость, снабженную малым отверстием (рис. 3.10.3). Излучение, проникшее внутрь через отверстие, прежде чем выйти обратно из отверстия, претерпевает многократные отражения. При каждом отражении часть энергии поглощается, в результате Рис.3.10.3.

чего практически все излучение любой частоты поглощается

такой полостью. Согласно закону Кирхгофа испускательная способность такого устройства очень близка к f (ω, Т), причем Т означает температуру стенок полости. Таким образом, если стенки полости поддерживать при некоторой температуре Т, то из отверстия выходит излучение, весьма близкое по спектральному составу к излучению абсолютно черного тела при той же температуре. Проводя эксперимент и разлагая это излучение в спектр с помощью дифракционной решетки можно измерить интенсивность различных участков спектра. Такой эксперимент дает вид функции f (ω, Т) или φ(λ, Т). Результаты таких опытов приведены на рис.3.10.4. Разные кривые относятся к различным значениям температуры Т абсолютно черного тела. Площадь, охватываемая кривой, дает энергетическую светимость абсолютно черного тела при соответствующей температуре.

Из рис.3.10.4 следует, что энергетическая светимость абсолютно черного тела сильно возрастает с температурой. Максимум испускательной способности с увеличением темпера- Рис.3.10.4.

туры сдвигается в сторону более коротких волн.

 

Равновесная плотность энергии излучения

Рассмотрим излучение, находящееся в равновесии с веществом. Для этого представим себе эвакуированную полость, стенки которой поддерживаются при постоянной температуре Т. В равновесном состоянии энергия излучения будет распределена в объеме полости с определенной плотностью u = u (T). Спектральное распределение этой энергии можно охарактеризовать функцией u (ω, T), определяемой условием du ω= u (ω, T) d, где du ω — доля плотности энергии, приходящаяся на интервал частот d ω. Полная плотность энергии u (T) связана с функцией u (ω, T) формулой (3.10.1).

Из термодинамических соображений следует, что равновесная плотность энергии излучения u (T) зависит только от температуры и не зависит от свойств стенок полости. Рассмотрим две полости, стенки которых изготовлены из разных материалов и имеют первоначально одинаковую температуру. Допустим, что равновесная плотность энергии в обеих полостях различна и, скажем, u 1(T)> u 2(T). Соединим полости с помощью небольшого отверстия (рис.3.10.5) и тем самым позволим стенкам полостей вступить в теплообмен через излучение. Так как по предположению u 1> u 2, поток энергии из первой полости во вторую должен быть больше, чем поток, текущий во встречном Рис.3.10.5

направлении. В результате стенки второй полости станут

поглощать больше энергии, чем излучать, и температура их начнет повышаться. Стенки же первой полости станут поглощать меньше энергии, чем излучать, так что они будут охлаждаться. Однако два тела с первоначально одинаковой температурой не могут вследствие теплообмена друг с другом приобрести различные температуры — это запрещено вторым началом термодинамики. Поэтому наше допущение о неодинаковости u 1 и u 2 должно быть признано неправомерным. Вывод о равенстве u 1(T) и u 2(T) распространяется на каждую спектральную составляющую u (ω, T).

Независимость равновесного излучения от природы стенок полости можно пояснить следующими соображениями. Абсолютно черные стенки поглощали бы всю упавшую на них энергию Фэ и испускали бы такой же поток энергии Фэ. Стенки с поглощательной способностью а поглотят долю a Фэ упавшего на них потока Фэ и отразят поток, равный (1- aэ. Кроме того, они излучат поток a Фэ (равный поглощенному потоку). В итоге стенки полости вернут излучению такой же поток энергии Фэ = (1- aэ + a Фэ, какой возвращали бы излучению абсолютно черные стенки.

Равновесная плотность энергии излучения u связана с энергетической светимостью абсолютно черного тела R * простым соотношением, которое мы сейчас выведем.

Рассмотрим эвакуированную полость с абсолютно черными стенками. В случае равновесия через каждую точку внутри полости будет проходить в любом направлении поток излуче- Рис 3.10.6.

 

ния одинаковой плотности. Если бы излучение распространялось в одном заданном направлении (т. е. через данную точку проходил только один луч), плотность потока энергии в рассматриваемой точке была бы равна произведению плотности энергии u на скорость электромагнитной волны c. Однако через каждую точку проходит множество лучей, направления которых равномерно распределены в пределах телесного угла 4π. Поток энергии равномерно распределен в пределах этого телесного угла. Следовательно, в каждой точке в пределах телесного угла будет течь поток энергии, плотность которого равна

Возьмем на поверхности полости элементарную площадку Δ S (рис.3.10.6). Эта площадка посылает в пределах телесного угла d Ω=sinυ d υ d φ в направлении, образующем с нормалью угол υ, поток энергии

По всем направлениям, заключенным в пределах телесного угла 2π, площадка Δ S посылает поток энергии

(3.10.13)

Вместе с тем поток энергии, испускаемый площадкой, можно найти, умножив энергетическую светимость R* на Δ S: ΔФэ= R* Δ S. Сравнение с (3.10.13) дает, что

(3.10.14)

Равенство (3.10.14) должно выполняться для каждой спектральной составляющей излучения. Отсюда вытекает, что

(3.10.15)

Эта формула связывает испускательную способность абсолютно черного тела с равновесной плотностью энергии теплового излучения.

Закон Стефана — Больцмана и закон Вина.

Теоретическое объяснение законов излучения абсолютно черного тела имело огромное значение в истории физики – оно привело к понятию квантов энергии.

Долгое время попытки получить теоретически вид функции f (ω, Т) не давали общего решения задачи.Австрийский физик Й.Стефан (1879), анализируя экспериментальные данные, пришел к выводу, что энергетическая светимость R любого тела пропорциональна четвертой степени абсолютной температуры. Однако последующие более точные измерения показали ошибочность его выводов. Австрийский физик Л.Больцман (1884), исходя из термодинамических соображений, получил теоретически для энергетической светимости абсолютно черного тела следующее значение:

(3.10.16)

где σ – постоянная величина, Т – абсолютная температура. Таким образом, заключение, к которому Стефан пришел для нечерных тел (с абсолютно черными телами он не экспериментировал), оказалось справедливым лишь для абсолютно черных тел.

Соотношение (3.10.16) между энергетической светимостью абсолютно черного тела и его абсолютной температурой получило название закона Стефана – Больцмана. Константу σ называют постоянной Стефана – Больцмана. Ее экспериментальное значение равно

Вин (1893), воспользовавшись, кроме термодинамики, электромагнитной теорией, показал, что функция спектрального распределения должна иметь вид

(3.10.17)

где F — некоторая функция отношения частоты к температуре.

Согласно формуле (3.10.11) для функции φ(λ, Т) получается выражение

(3.10.17)

где ψ(λ, Т) некоторая функция произведения λ Т.

Соотношение (3.10.17) позволяет установить зависимость между длиной волны λm, на которую приходится максимум функции φ(λ, Т) и температурой. Продифференцируем это соотношение по λ:

(3.10.18)

Выражение в квадратных скобках представляет собой некоторую функцию Ψ(λ, Т). При длине волны λm, соответствующей максимуму функции φ(λ, Т), выражение (3.10.18) должно обращаться в нуль:

Из опыта известно, что λm конечно (λm ≠ ∞). Поэтому должно выполняться условие: Ψ(λm Т) = 0. Решение последнего уравнения относительно неизвестного λm Т дает для этого неизвестного некоторое число, которое мы обозначим буквой b. Таким образом, получается соотношение

которое носит название закона смещения Вина: длина волны, на которую приходится максимум излучательной способности абсолютно черного тела, обратно пропорциональна его абсолютной температуре

. (3.10.19)

Экспериментальное значение константы b равно

 

Формула Рэлея — Джинса.

Английские физики Дж.У.Рэлей и Дж.Джинс сделали попытку определить равновесную плотность излучения u (ω, Т), исходя из теоремы классической статистики о равнораспределении энергии по степеням свободы. Они предположили, что на каждое электромагнитное колебание приходится в среднем энергия, равная двум половинкам kT – одна половинка на электрическую, вторая — на магнитную энергию волны (напомним, что по классическим представлениям на каждую колебательную степень свободы приходится в среднем энергия, равная двум половинкам ).

Равновесное излучение в полости представляет собой систему стоячих волн. С учетом возможных видов поляризации количество стоячих волн, отнесенное к единице объема полости, определяется формулой

(3.10.20)

Как мы уже отмечали, Рэлей и Джинс, исходя из закона равнораспределения энергии по степеням свободы, приписали каждому колебанию энергию ‹ε›, равную kT. Умножив (3.10.20) на ‹ε›, получим плотность энергии, приходящуюся на интервал частот d ω:

Отсюда

(3.10.21)

Перейдя от u (ω, Т) к f (ω, Т), получим выражение для испускательной способности абсолютно черного тела:

(3.10.22)

Выражения (3.10.21) и (3.10.22) называются формулой Рэлея — Джинса. Эта формула удовлетворительно согласуется с экспериментальными данными лишь при больших длинах волн и резко расходится с опытом для малых длин волн (см. рис.3.10.7, на котором сплошной линией изображена экспериментальная кривая, пунктиром кривая, построенная по формуле Рэлея — Джинса).

Интегрирование выражения (3.10.22) по ω в пределах от 0 до ∞ дает для равновесной плотности энергии u (Т) бесконечно большое значение. Этот результат, получивший название ультрафиолетовой катастрофы, также находится в противоречии с опытом. Равновесие между излучением и излучающим Рис.3.10.7.

телом устанавливается при конечных значениях u (Т).

 

Формула Планка.

С классической точки зрения вывод формулы Рэлея—Джинса является безупречным. Поэтому расхождение этой формулы с опытом указывало на существование каких-то закономерностей, несовместимых с представлениями классической физики.

В 1900г.немецкому физику Максу Планку удалось найти вид функции u (ω, Т), в точности соответствующий опытным данным:

(3.10.23)

Для этого ему пришлось сделать предположение совершенно чуждое классическим представлениям, а именно допустить, что электромагнитное излучение испускается в виде отдельных порций энергии (квантов), величина которых пропорциональна частоте излучения:

(3.10.24)

Коэффициент пропорциональности получил впоследствии название постоянная Планка.

Исходя из выдвинутого предположения, Планк получил значение средней энергии излучения частоты :

, (3.10.25)

откуда с учетом (3.10.20) (3.10.15) и следует формула Планка.

Заметим в конце, что для малых частот, когда «kT, выражение (3.10.25) дает классическое .

 

 




Поделиться с друзьями:


Дата добавления: 2013-12-13; Просмотров: 5513; Нарушение авторских прав?; Мы поможем в написании вашей работы!


Нам важно ваше мнение! Был ли полезен опубликованный материал? Да | Нет



studopedia.su - Студопедия (2013 - 2026) год. Все материалы представленные на сайте исключительно с целью ознакомления читателями и не преследуют коммерческих целей или нарушение авторских прав! Последнее добавление




Генерация страницы за: 0.055 сек.