Студопедия

КАТЕГОРИИ:


Архитектура-(3434)Астрономия-(809)Биология-(7483)Биотехнологии-(1457)Военное дело-(14632)Высокие технологии-(1363)География-(913)Геология-(1438)Государство-(451)Демография-(1065)Дом-(47672)Журналистика и СМИ-(912)Изобретательство-(14524)Иностранные языки-(4268)Информатика-(17799)Искусство-(1338)История-(13644)Компьютеры-(11121)Косметика-(55)Кулинария-(373)Культура-(8427)Лингвистика-(374)Литература-(1642)Маркетинг-(23702)Математика-(16968)Машиностроение-(1700)Медицина-(12668)Менеджмент-(24684)Механика-(15423)Науковедение-(506)Образование-(11852)Охрана труда-(3308)Педагогика-(5571)Полиграфия-(1312)Политика-(7869)Право-(5454)Приборостроение-(1369)Программирование-(2801)Производство-(97182)Промышленность-(8706)Психология-(18388)Религия-(3217)Связь-(10668)Сельское хозяйство-(299)Социология-(6455)Спорт-(42831)Строительство-(4793)Торговля-(5050)Транспорт-(2929)Туризм-(1568)Физика-(3942)Философия-(17015)Финансы-(26596)Химия-(22929)Экология-(12095)Экономика-(9961)Электроника-(8441)Электротехника-(4623)Энергетика-(12629)Юриспруденция-(1492)Ядерная техника-(1748)

Определение спроса и емкости рынка




Первичная и вторичная информация в МИ.

Вторичные данные – информация, которая уже где-то существует, которая собрана ранее для других целей.

Первичные данные – информация, собранная впервые для какой-либо конкретной цели.

Спрос – потребность подкрепленная ресурсами (емкость рынка).

Емкость рынка - это годовой объем реализуемых на рынке товаров в натуральном или стоимостном выражении. Емкость рынка зависит от экономической и политической ситуации, объема экспорта и импорта, объема местного производства, уровня доходов населения, соотношения спроса и предложения и от потребительских расходов.

Измерение емкости рынка: по территории; по товару; по времени.

 

65. измерение и прогноз ёмкости рынка

Емкость рынка - это годовой объем реализуемых на рынке товаров в натуральном или стоимостном выражении

Емкость рынка - объём реализуемой продукции в течение определенного отрезка времени, рассчитывается по формуле: Е=П+З-Э+И +- ДЗ-КЭ+КИ, где:
П
- объём производства;
З
- запасы продукции на складе предприятия и у посредников;
Э
- объём экспорта;
И
- объём импорта;
ДЗ
- снижение или увеличение запасов продукции на предприятие и у посредников;
КЭ
- объём косвенного экспорта;
КИ
– объём косвенного импорта.

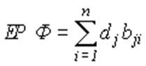
Емкость рынка фирмы по каждому изделию может быть рассчитана по формуле:

где i = 1,2,...n - индекс сегмента рынка по продукту(модели изделия), выделенного по какому-либо признаку,
j = 1,2,..., m - индекс географического сегмента рынка,
dj - общее число изделий, проданных на j-ом географическом сегменте,
bji - доля i-го сегмента рынка по продукту на j-м географическом сегменте рынка.

 

№ 66 Потребительские рынки и поведение покупателей на этих рынках.

1. Потребительский рынок – отдельные лица и домохозяйства, покупающие или приобретающие иным способом товары и услуги для личного потребления. Этот рынок состоит из множества субрынков.

2. На поведение покупателей оказывают влияние четыре основные группы факторов:

· Культурного порядка (культура, субкультура и социальное положение).

· Социального порядка (референтные группы, семья, роли и статусы).

· Личного порядка (возраст и этап жизненного цикла семьи, род занятий, экономическое положение, образ жизни, представления о самом себе).

· Психологического порядка (мотивация, восприятие, усвоение, убеждения и отношения).

Побудительные факторы маркетинга и прочие раздражители проникают в сознание покупателя и вызывают определенные отклики. Побудительные факторы маркетинга включают в себя четыре элемента: товар, цену, методы распространения и стимулирования. Прочие раздражители – это основные силы и события экономической, научно-технической, политической и культурной среды, окружающей покупателя. В сознании покупателя эти раздражители вызывают покупательские реакции: выбор товара, фирмы, дилера, времени и объема покупки.

Сознание каждого покупателя обладает определенными особенностями. Эти особенности – характеристики покупателя – оказывают основное влияние на то, как человек воспринимает раздражители и как реагирует на них.

До начала планирования своего маркетинга фирме необходимо выявить всех условных потребителей, определить, как у них протекает процесс принятия решения о покупке, понять различных участников потребительского рынка и установить основные факторы влияния на покупательское поведение.




Поделиться с друзьями:


Дата добавления: 2013-12-13; Просмотров: 731; Нарушение авторских прав?; Мы поможем в написании вашей работы!


Нам важно ваше мнение! Был ли полезен опубликованный материал? Да | Нет



studopedia.su - Студопедия (2013 - 2026) год. Все материалы представленные на сайте исключительно с целью ознакомления читателями и не преследуют коммерческих целей или нарушение авторских прав! Последнее добавление




Генерация страницы за: 0.012 сек.