Студопедия

КАТЕГОРИИ:


Архитектура-(3434)Астрономия-(809)Биология-(7483)Биотехнологии-(1457)Военное дело-(14632)Высокие технологии-(1363)География-(913)Геология-(1438)Государство-(451)Демография-(1065)Дом-(47672)Журналистика и СМИ-(912)Изобретательство-(14524)Иностранные языки-(4268)Информатика-(17799)Искусство-(1338)История-(13644)Компьютеры-(11121)Косметика-(55)Кулинария-(373)Культура-(8427)Лингвистика-(374)Литература-(1642)Маркетинг-(23702)Математика-(16968)Машиностроение-(1700)Медицина-(12668)Менеджмент-(24684)Механика-(15423)Науковедение-(506)Образование-(11852)Охрана труда-(3308)Педагогика-(5571)Полиграфия-(1312)Политика-(7869)Право-(5454)Приборостроение-(1369)Программирование-(2801)Производство-(97182)Промышленность-(8706)Психология-(18388)Религия-(3217)Связь-(10668)Сельское хозяйство-(299)Социология-(6455)Спорт-(42831)Строительство-(4793)Торговля-(5050)Транспорт-(2929)Туризм-(1568)Физика-(3942)Философия-(17015)Финансы-(26596)Химия-(22929)Экология-(12095)Экономика-(9961)Электроника-(8441)Электротехника-(4623)Энергетика-(12629)Юриспруденция-(1492)Ядерная техника-(1748)

Лекция 13. Рынок природных ресурсов

Пример

Фирма должна решить, следует ли производить новые виды продуктов. Внедрение в производство

нового продукта предполагает расходы на запуск, эксплуатационные издержки, а также входящие денежные потоки (доходы) в течение шести лет. Этот проект требует немедленного (T = 0) оттока денежных средств в размере 100000 д. е. (которые могут включать плату за проектирование, а также расходы на обучение персонала). Другие выплаты денежных средств за 1-6 лет ожидаются в размере 5000 д.е. в год. Ежегодный приток денежных средств в течение 6 лет, как ожидается, составит 30000 д.е. Все денежные потоки после уплаты налогов, и на 6 год ни каких дополнительных денежных поступлений не планируется.

Ожидаемая внутренняя норма доходности составляет 10 %. Приведенная стоимость (PV) может быть рассчитана по каждому году:

Год Расчет чистого дисконтированного дохода Величина чистого дисконтированного дохода
T=0 - 100,000
T=1 22,727
T=2 20,661
T=3 18,783
T=4 17,075
T=5 15,523
T=6 14,112
  Итого 8,881

Сумма всех этих значений является настоящей чистой приведенной стоимостью, которая равна 8,881 д.е. Поскольку NPV больше нуля, то целесообразнее вложить инвестиции в проект, чем разместить деньги в банке. Фирма только тогда осуществит капиталовложения в данный проект, если не предвидится альтернативного более выгодного проекта с большим NPV.

При решении подобной проблемы на практике необходимо учитывать и другие факторы, как то расчет налогов, неравномерность денежных потоков, а также наличие альтернативных возможности для инвестиций.

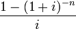
Кроме того, если мы будем использовать формулы, упомянутые выше, для расчёта NPV - то мы видим, что входящие потоки (притоки) денежных средств являются непрерывными и имеют такую же сумму; в формуле

может быть использовано

= 4.36.

Как уже упоминалось выше, что результат этой формулы, если, умноженная на годовой Чистые денежные средства, в-потоки и сократить на первоначальные затраты средств будет Чистая приведенная стоимость (NPV), так [4,36 * (30000 − 5000)] − 100000 = $8881,52. Поскольку NPV больше нуля, то было бы лучше инвестировать в проект, чем ничего не делать, и корпорации должны вкладывать средства в этот проект, если нет альтернативы с более высоким NPV.

 

С помощью ЧДД можно также оценивать сравнительную эффективность альтернативных вложений (при одинаковых начальных вложениях более выгоден проект с наибольшим ЧДД).

Но все же для сравнительного анализа более применимыми являются относительные показатели. Применительно к анализу инвестиционных проектов таким показателем является внутренняя норма доходности.

Второй подход к обеспечению сравнимости затрат и выгод основан на расчете нормы отдачи от инвестиций. Норма отдачи от инвестиций есть, иначе говоря, предельная эффективность капитала (MEC) или, что то же самое, внутренняя норма отдачи (IRR).

Предельная эффективность капитала (внутренняя норма отдачи) есть такая норма дисконтирования, которая делает чистую приведенную стоимость нулевой.

NPV = PV - IC=0 или PV = I C

MEC можно определить как значение r, которое сделает приведенную стоимость равной стоимости инвестиций. Допустим, r = 0,15 (или, в процентном выражении - 15%). Это означает, что осуществление таких инвестиций равнозначно получению 15% годовых, или, что предельная эффективность капитала (MEC) составляет 15%.

Должна ли фирма осуществлять такие инвестиции? Ответ будет положительным только в том случае, если действующая процентная ставка (i) меньше 15% годовых. Здесь фирма выигрывает по сравнению с вложением равной суммы денег в банк под проценты. Иначе говоря, если MEC > i, то инвестиции оправданы.[6]

Это есть частный случай общего правила, в соответствие с которым MRP сопоставляется с MRC. Только MRP здесь представлен как MEC, а MRC - как i.

Максимизирующее прибыль решение фирмы представлено на рис. 7.17. По мере наращивания инвестиций растет запас капитала, так что MEC сокращается в соответствии с законом убывающей отдачи. Пока MEC > i, то фирма должна продолжать инвестировать в таком объеме, чтобы наращивать имеющийся у нее запас капитала. Она прекратит инвестиции в объеме, позволяющем наращивать запас капитала тогда, когда последний достигнет величины K e. Затем, инвестиции будут сокращены до уровня, достаточного только для замены изношенного капитала, и, таким образом, фирма будет постоянно поддерживать запас своего капитала на уровне K e.

Рис. 7.17. Максимизирующий прибыль запас капитала.

Инвестор всегда сталкивается с неопределенностью будущего, а следовательно, с риском. При принятии инвестиционных решений он учитывается через коррекцию нормы дисконтирования. Чем выше риск, тем выше норма дисконтирования.

Говоря о предложении капитала, необходимо строго различать предложение физического капитала (например, различного оборудования, транспортных средств) от предложения финансов, которые будут использованы фирмой для покупки физического капитала.

Что касается предложения физического капитала, то здесь положение ничем не отличается от положения на товарном рынке. Независимо от того, производит ли фирма грузовики или легковые автомобили, она определяет выпуск исходя из равенства МС и MR.

Рынок заемных средств. Когда фирма производит заимствования для осуществления инвестиций, то тем самым она создает спрос на заемные средства. Источником предложения этих средств являются депозиты (вклады) домохозяйств в банках и других финансовых организациях. Депозиты есть сбережения, т.е. свободные средства, которые появляются в результате воздержания от потребления. Иначе говоря, чем меньше домохозяйства потребляют, тем больше заемных средств будет доступно для финансирования инвестиций.

Решения о сбережении, в частности, зависят от процентной ставки, которая выплачивается по депозитам. Чем она выше, тем больше появляется стимулов к сбережению у домохозяйств. Это показано на рис. 7.18. с помощью восходящей кривой предложения заемных средств (S).

Рис. 7.18. Рынок заемных средств.

Сбережения также зависят от доходов людей, их ожиданий будущих цен, от их «бережливости» (склонности жертвовать текущим потреблением ради будущих доходов). Изменение любого из этих факторов приводит к сдвигу кривой предложения заемных средств.

Кривая спроса на заемные средства убывает с убыванием процентной ставки (i). Будем считать, что спрос на заемные средства предъявляют только фирмы. По мере падения процентной ставки фирмам становится выгодно осуществлять инвестиции со всё меньшей нормой отдачи. Отсюда растет спрос на заемные средства.

Равновесие спроса и предложения на рынке заемных средств достигается, как и на всех прочих рынках, при равенстве спроса и предложения. Устанавливается равновесная процентная ставка (i e) и ей соответствует равновесное количество заемных средств I e.

Если, например, происходит внедрение новой техники, которая имеет более высокую производительность, то увеличение отдачи от капитала увеличивает и спрос на заемные средства. Кривая спроса на них сдвигается вправо. Это повышает равновесную процентную ставку и, тем самым, поощряются дополнительные сбережения. В результате больше средств затрачивается на приобретение физического капитала.

Разумеется, что на рынке заемных средств домохозяйства не передают деньги непосредственно фирмам. В странах с развитой рыночной экономикой между домохозяйствами и фирмами находится множество посредников (различные банки, страховые компании, инвестиционные фонды и др.). Однако в последнее время традиционная посредническая функция на рынке заемных средств существенно модифицируется (см. вставку 7.8)

Вставка 7.8. И здесь Интернет…

Вот что пишет по поводу Интернета и финансовых рынков журнал английский журнал «Экономист»: «Банки и другие финансовые фирмы – всего лишь посредники между кредиторами и заемщиками, между накоплением и расходованием средств. Десятилетиями банки в богатых странах тряслись от одной мысли о том, что они могут потерять эту функцию, позволив кредиторам войти в прямой контакт с заемщиками (что уже происходит на фондовых рынках) и лишить банки их законных комиссионных. Интернет, по-видимому, представляет собой наибольшую угрозу дезинтермедиации (усекновения их посреднических функций) из всех, с какими банкам приходилось когда-либо сталкиваться. Та же проблема стоит и перед другими посредниками, например розничными торговцами, но деньги, в отличие, скажем, от одежды, являются тем товаром, который реально может пересылаться и доставляться электронными средствами» (Финансы и банки в Интернете//Эксперт, 2000, № 20. – С.1). «…Многие наблюдатели считают, что в долгосрочной перспективе основная угроза для банков исходит от порталов, таких как NetCenter, Yahoo! и AOL, а также сайтов, предоставляющих персональные финансовые услуги в режиме он-лайн – Money Central, принадлежащий Microsoft, и Quicken, принадлежащий Intuit».

«Идеальным вариантом для частного лица была бы возможность решать все свои финансовые проблемы с помощью одного легкодоступного сайта. Банковские счета, страховые полисы, портфели акций и налоговые декларации – все это было бы здесь, постоянно обновляемое, и пользователь мог бы совершать какие угодно операции, не выходя за пределы сайта и не проходя ни чрез какие дополнительные устройства безопасности. У клиента был бы один «универсальный пароль», который обеспечивал бы ему доступ ко всем онлайновым финансовым операциям».

(Там же. – С.12)

 

Капитал и прибыль. Прибыль (экономическая и бухгалтерская) есть доход собственников фирмы от владения капиталом и его использования. Как мы знаем, на совершенных рынках экономическая прибыль в длительном периоде отсутствует. Если фирма получает только бухгалтерскую прибыль, то применительно к капиталу можно сказать, что имеет место нормальная норма отдачи от капитала.

Это означает, что с учетом риска отдача от капитала (доходность капитала) будет равной процентному доходу, который собственники этого капитала могли бы получать в случае его продажи по рыночной цене и помещении вырученной суммы на банковский депозит.

Если капитал приносит отдачу выше нормального уровня, то другие фирмы найдут для себя привлекательным инвестировать в тот же физический капитал. Следствием этого явится увеличение выпуска продукции, производимой с использованием физического капитала данного вида. В результате цена этой продукции будет снижаться, а следовательно, и отдача от капитала - вплоть до достижения ею нормального уровня.

Когда собственники капитала имеют рыночную власть, то они могут ограничить вход новых фирм или копирование инноваций. Например, они могут обладать патентами. Тогда они будут получать отдачу на капитал выше нормальной и в длительном периоде.

Если инвестиции являются рискованными, то в случае успеха они также приносят отдачу выше нормальной. В противном случае их бы никто никогда не осуществлял. В результате у владельцев капитала остается экономическая прибыль, поскольку, учитывая высокую вероятность неудачи (убытков), такие инвестиции приносят в среднем только нормальную отдачу.

 

Вопросы лекции

1. Классификация природных ресурсов.

2. Особенности земли.

3. Рынок природных ресурсов. Рынок земли. Землевладение и землепользование.

Спрос и предложение земли.

4. Земельная рента: понятие, виды и факторы её определяющие. Арендная плата.

5. Цена земли

6. Налогообложение земельных участков

Россия занимает огромную территорию, значительная часть которой до сих пор остаётся неосвоенной человеком. Следствием этого является значительная доля природных ресурсов России в их мировом запасе. Торговля этими ресурсами на мировом рынке приносит Российской Федерации подавляющую долю дохода в структуре экспорта.

1. Классификация природных ресурсов:

Воспроизводимые ресурсы, которые могут быть природой восстановлены за 1-2 поколения, примерами таких ресурсов являются лес, чистая вода, рыба, пушной зверь. Но масштабы потребления этих ресурсов не должны превышать скорость их воспроизводства в природе. Например, нельзя вырубать лес быстрее, чем он успевает вновь вырастать на лесопосадках. В Российской Федерации и в наше время находятся огромные неиспользованные лесные ресурсы.

Невоспроизводимые ресурсы, которые природа не можем восстановить в принципе в обозримой перспективе, примерами таких ресурсов служат любые минеральные ресурсы – нефть, природный газ, уголь, руды металлов, запасы солей. Иногда можно частично восстанавливать ресурсы для повторного использования, например, собирать металлолом.

Невоспроизводимые ресурсы делятся на:

А. Невозвратные ресурсы, которые в процессе потребления уничтожаются и не могут быть восстановлены, например, топливо и минеральные удобрения (фосфорные и калийные). Например, в Березниках на комбинате «Азот» изготовляют азотные удобрения из атмосферного воздуха и природного газа.

Б. Возвратные ресурсы, которые могут быть восстановлены ценой некоторых затрат и с некоторыми потерями, например, металлы (железо, медь, серебро, золото и т. д.), бумага и картон, резина, пластмассы. Например, можно извлечь серебро из использованной киноплёнки. Эта киноплёнка выходит из строя в больших количествах при демонстрации фильмов в кинотеатрах.

<== предыдущая лекция | следующая лекция ==>
Несовершенный рынок труда | Рынок природных ресурсов. Рынок земли
Поделиться с друзьями:


Дата добавления: 2013-12-13; Просмотров: 420; Нарушение авторских прав?; Мы поможем в написании вашей работы!


Нам важно ваше мнение! Был ли полезен опубликованный материал? Да | Нет



studopedia.su - Студопедия (2013 - 2026) год. Все материалы представленные на сайте исключительно с целью ознакомления читателями и не преследуют коммерческих целей или нарушение авторских прав! Последнее добавление




Генерация страницы за: 0.011 сек.