Студопедия

КАТЕГОРИИ:


Архитектура-(3434)Астрономия-(809)Биология-(7483)Биотехнологии-(1457)Военное дело-(14632)Высокие технологии-(1363)География-(913)Геология-(1438)Государство-(451)Демография-(1065)Дом-(47672)Журналистика и СМИ-(912)Изобретательство-(14524)Иностранные языки-(4268)Информатика-(17799)Искусство-(1338)История-(13644)Компьютеры-(11121)Косметика-(55)Кулинария-(373)Культура-(8427)Лингвистика-(374)Литература-(1642)Маркетинг-(23702)Математика-(16968)Машиностроение-(1700)Медицина-(12668)Менеджмент-(24684)Механика-(15423)Науковедение-(506)Образование-(11852)Охрана труда-(3308)Педагогика-(5571)Полиграфия-(1312)Политика-(7869)Право-(5454)Приборостроение-(1369)Программирование-(2801)Производство-(97182)Промышленность-(8706)Психология-(18388)Религия-(3217)Связь-(10668)Сельское хозяйство-(299)Социология-(6455)Спорт-(42831)Строительство-(4793)Торговля-(5050)Транспорт-(2929)Туризм-(1568)Физика-(3942)Философия-(17015)Финансы-(26596)Химия-(22929)Экология-(12095)Экономика-(9961)Электроника-(8441)Электротехника-(4623)Энергетика-(12629)Юриспруденция-(1492)Ядерная техника-(1748)

Гомогликаны

Гомогликаны (гомополисахариды) или простые полимеры. Состоят из остатков одинаковых моносахаридов. Гетерогликаны (гетеропилисахариды) или сложные полимеры. Состоят из остатков разных моносахаридов

III ПОЛИСАХАРИДЫ

Сахароза

Лактоза

Целлобиоза

Мальтоза

II ОЛИГОСАХАРИДЫ

Рисунок 3 - Связевая система с прогонами и деревянными полураскосными связями

1. Дисахариды Состоят из двух остатков моносахаридов, связанных гликозидной связью. Все дисахариды в кислой среде гидролизуются до моносахаридов.

А. Восстанавливающие дисахариды м альтоза, лактоза, целлобиоза.. Характерна цикло-оксо-таутомерия и мутаротация. В оксо-форме дают реакции сербряного и медного зеркала, проявляя «восстанавливающеие свойства».

Мономер - a D-глюкопираноза, гликозидная связь a(1®4)

Мономер - b D-глюкопираноза, гликозидная связь b(1®4)

Мономеы - b D-галактопираноза и D -глюкопираноза, гликозидная связь b(1®4)

Б. Невосстанавливающие дисахариды (сахароза.) В них отсутствует цикло-оксо- таутомерия, нет оксо-форм

Мономеры a D-глюкопираноза и b D-фруктофураноза. Гликозидная связь a(1®2)

 
 


. Полисахариды делятся на гомогликаны и гетерогликаны.

 

 

1. Целлюлоза.Имеет линейное строение. Мономер b,D-глюкопираноза.Гликозидные связи b (1®4)
2. Крахмал.Представляет смесь амилозы и амилопектина.  
а) Амилоза.Молекулаимеет линейное строение, закручена в спираль, которая образует комплексное соединение с йодом синего цвета. Мономерa-D-глюкопираноза. Гликозидные связи a(1®4).
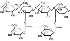
б) Амилопектин.Молекула разветвленная. Гликозидные связи в основной цепи a(1®4) в точке ветвления a (1®6). Ветвление через – 22-24 звена.    
3. Гликоген или животный крахмал, запасается в печени. Имеет разветвленное строение.Мономерa-D-глюкопираноза. Гликозидные связи в основной цепи a(1®4) в точке ветвления a (1®6). Разветвления через 6-10 звеньев.  
4. Декстран. Крахмал бактериального происхождения. Возникает трехмерная «сеть» или «сито». Мономерa-D-глюкопираноза. Гликозидные связи в основной цепи a(1®6).  

 

 

 

<== предыдущая лекция | следующая лекция ==>
Противоэпидемические мероприятия направленные на 3 звена эпид.процесса | ЛЕКЦИЯ 1. Трудно переоценить роль Мирового океана в жизни человечества
Поделиться с друзьями:


Дата добавления: 2013-12-13; Просмотров: 2016; Нарушение авторских прав?; Мы поможем в написании вашей работы!


Нам важно ваше мнение! Был ли полезен опубликованный материал? Да | Нет



studopedia.su - Студопедия (2013 - 2026) год. Все материалы представленные на сайте исключительно с целью ознакомления читателями и не преследуют коммерческих целей или нарушение авторских прав! Последнее добавление




Генерация страницы за: 0.014 сек.