Студопедия

КАТЕГОРИИ:


Архитектура-(3434)Астрономия-(809)Биология-(7483)Биотехнологии-(1457)Военное дело-(14632)Высокие технологии-(1363)География-(913)Геология-(1438)Государство-(451)Демография-(1065)Дом-(47672)Журналистика и СМИ-(912)Изобретательство-(14524)Иностранные языки-(4268)Информатика-(17799)Искусство-(1338)История-(13644)Компьютеры-(11121)Косметика-(55)Кулинария-(373)Культура-(8427)Лингвистика-(374)Литература-(1642)Маркетинг-(23702)Математика-(16968)Машиностроение-(1700)Медицина-(12668)Менеджмент-(24684)Механика-(15423)Науковедение-(506)Образование-(11852)Охрана труда-(3308)Педагогика-(5571)Полиграфия-(1312)Политика-(7869)Право-(5454)Приборостроение-(1369)Программирование-(2801)Производство-(97182)Промышленность-(8706)Психология-(18388)Религия-(3217)Связь-(10668)Сельское хозяйство-(299)Социология-(6455)Спорт-(42831)Строительство-(4793)Торговля-(5050)Транспорт-(2929)Туризм-(1568)Физика-(3942)Философия-(17015)Финансы-(26596)Химия-(22929)Экология-(12095)Экономика-(9961)Электроника-(8441)Электротехника-(4623)Энергетика-(12629)Юриспруденция-(1492)Ядерная техника-(1748)

ВОПРОС 3. Материальный баланс массообменных процессов

 

Рассмотрим схему элементарного массообменного аппарата, в котором происходит массообмен между двумя движущимися пря­мотоком фазами. Массовые скорости фаз относительно поверхно­сти их раздела, выраженные в килограммах инертного вещества в час, обозначим G и L, а концентрации распределяемого вещества (в килограммах на килограмм инертного вещества) — соответ­ственно у и х (рис. 2).

 

Рис. 2. К составлению материального баланса и выводу уравнения рабочей ли­нии процесса:

а—схема потоков в аппарате; б— изображе­ние рабочей линии в координатах у—х

 

Предположим, что у > ур, тогда распределяемое вещество будет переходить из фазы G в фазу L, а концентрация в фазе G будет

Для бесконечно малой площади поверхности аппарата dF

(5)

 

Интегрируя это уравнение в пределах изменения концентраций распределяемого вещества в аппарате, получим

 

(6)

 

откуда определим массовые расходы

 

 

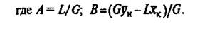
Интегрируя уравнение (5) в пределах от начальных до текущих концентраций, получим откуда опреде­лим связь между текущими концентрациями

 

(7)

 

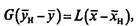
Аналогично для противоточного движения фаз

 

(8)

 

или

 

 

 

Из уравнений (7) и (8) легко видеть, что связь между те­кущими концентрациями распределяемого вещества подчиняется линейным уравнениям. Уравнение прямой, выражающее зависи­мость между фактическими (рабочими) концентрациями, называ­ется рабочей линией процесса.

<== предыдущая лекция | следующая лекция ==>
ВОПРОС 2. Кинетика массопередачи | ВОПРОС 4. Основные законы массопередачи и массоотдачи
Поделиться с друзьями:


Дата добавления: 2014-01-04; Просмотров: 1146; Нарушение авторских прав?; Мы поможем в написании вашей работы!


Нам важно ваше мнение! Был ли полезен опубликованный материал? Да | Нет



studopedia.su - Студопедия (2013 - 2026) год. Все материалы представленные на сайте исключительно с целью ознакомления читателями и не преследуют коммерческих целей или нарушение авторских прав! Последнее добавление




Генерация страницы за: 0.011 сек.