Студопедия

КАТЕГОРИИ:


Архитектура-(3434)Астрономия-(809)Биология-(7483)Биотехнологии-(1457)Военное дело-(14632)Высокие технологии-(1363)География-(913)Геология-(1438)Государство-(451)Демография-(1065)Дом-(47672)Журналистика и СМИ-(912)Изобретательство-(14524)Иностранные языки-(4268)Информатика-(17799)Искусство-(1338)История-(13644)Компьютеры-(11121)Косметика-(55)Кулинария-(373)Культура-(8427)Лингвистика-(374)Литература-(1642)Маркетинг-(23702)Математика-(16968)Машиностроение-(1700)Медицина-(12668)Менеджмент-(24684)Механика-(15423)Науковедение-(506)Образование-(11852)Охрана труда-(3308)Педагогика-(5571)Полиграфия-(1312)Политика-(7869)Право-(5454)Приборостроение-(1369)Программирование-(2801)Производство-(97182)Промышленность-(8706)Психология-(18388)Религия-(3217)Связь-(10668)Сельское хозяйство-(299)Социология-(6455)Спорт-(42831)Строительство-(4793)Торговля-(5050)Транспорт-(2929)Туризм-(1568)Физика-(3942)Философия-(17015)Финансы-(26596)Химия-(22929)Экология-(12095)Экономика-(9961)Электроника-(8441)Электротехника-(4623)Энергетика-(12629)Юриспруденция-(1492)Ядерная техника-(1748)

Вопрос 3. Равновесие в процессах адсорбции

Независимо от природы адсорбционных сил количество веще­ства, адсорбированного единицей массы или объема определенно­го адсорбента, зависит от природы поглощенного вещества, тем­пературы, давления и количества примесей в фазе, из которой по­глощается вещество.

Зависимость между равновесными концентрациями поглощен­ного вещества в твердой и газовой или жидкой фазе в общем виде выражается уравнением

 

(1)

 

 

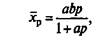
Зависимости, описываемые уравнениями (1), называются изотермами адсорбции. На основании законов химической термо­динамики найдены конкретные выражения изотерм адсорбции, называемые изотермами Лэнгмюра:

(2)

или Фрейндлиха:

 

Адсорбции способствуют пониженная температура и повышен­ное давление над адсорбентом, а также отсутствие примесей в фазе над адсорбентом.

Вид изотермы адсорбции зависит от многих факторов: удель­ной площади поверхности адсорбента, объема пор, структуры ад­сорбента, свойств поглощаемого вещества, а также от температуры процесса. На рис. 21.1 изображены пять основных типов изотерм адсорбции. Тип 1 характерен для микропористых адсорбентов. Начальные выпуклые участки изотерм типов 2 и 4 также связаны с микропорами. Последующую форму изотерм определяют полимолекулярная адсорбция и капиллярная кон­денсация. Вогнутые участки на изотермах 3 и 5 характерны для систем адсорбент — адсорбтив, когда силы взаимодействия моле­кул адсорбтива с адсорбентом меньше сил межмолекулярного взаимодействия для мо­лекул адсорбтива. Эти изотермы встреча­ются сравнительно редко.

Рис. 1. Основные типы изотерм

 

Установлено, что при адсорбции из па­ровой или жидкой фазы нескольких ве­ществ адсорбируются все вещества, однако равновесная концентрация каждого будет ниже, чем при адсорбции индивидуального вещества.

Существуют различные теории адсорб­ции, каждая из которых удовлетворительно описывает экспериментальные данные в определенных условиях. М.М.Дубинин рассматривает процесс адсорбции микропорис­тым адсорбентом как процесс заполнения микропор адсорбтивом. Полученные им уравнения адсорбции для газов и паров в широ­ком диапазоне температур характеризуют зависимость равновес­ной концентрации адсорбтива от структуры пор адсорбента. Такие уравнения имеют сложный характер. Одно из полученных М. М. Дубининым уравнений

(3)

 

Адсорбция сопровождается уменьшением давления пара погло­щаемого вещества в исходной смеси и выделением теплоты, поэто­му в соответствии с принципом Ле-Шателье количество адсорбиро­ванного вещества возрастает с понижением температуры и повы­шением давления. Таким образом, понижение давления и повыше­ние температуры способствуют обратному процессу — десорбции.

Количество выделяющейся при адсорбции теплоты (кДж/кмоль) определяют экспериментально. При отсутствии опытных данных оно может быть вычислено по уравнению

(4)

 

 

 

<== предыдущая лекция | следующая лекция ==>
Вопрос 2. Характеристика и область применения адсорбентов | Вопрос 4. Адсорберы и схемы адсорбционных процессов
Поделиться с друзьями:


Дата добавления: 2014-01-04; Просмотров: 540; Нарушение авторских прав?; Мы поможем в написании вашей работы!


Нам важно ваше мнение! Был ли полезен опубликованный материал? Да | Нет



studopedia.su - Студопедия (2013 - 2025) год. Все материалы представленные на сайте исключительно с целью ознакомления читателями и не преследуют коммерческих целей или нарушение авторских прав! Последнее добавление




Генерация страницы за: 0.012 сек.