Студопедия

КАТЕГОРИИ:


Архитектура-(3434)Астрономия-(809)Биология-(7483)Биотехнологии-(1457)Военное дело-(14632)Высокие технологии-(1363)География-(913)Геология-(1438)Государство-(451)Демография-(1065)Дом-(47672)Журналистика и СМИ-(912)Изобретательство-(14524)Иностранные языки-(4268)Информатика-(17799)Искусство-(1338)История-(13644)Компьютеры-(11121)Косметика-(55)Кулинария-(373)Культура-(8427)Лингвистика-(374)Литература-(1642)Маркетинг-(23702)Математика-(16968)Машиностроение-(1700)Медицина-(12668)Менеджмент-(24684)Механика-(15423)Науковедение-(506)Образование-(11852)Охрана труда-(3308)Педагогика-(5571)Полиграфия-(1312)Политика-(7869)Право-(5454)Приборостроение-(1369)Программирование-(2801)Производство-(97182)Промышленность-(8706)Психология-(18388)Религия-(3217)Связь-(10668)Сельское хозяйство-(299)Социология-(6455)Спорт-(42831)Строительство-(4793)Торговля-(5050)Транспорт-(2929)Туризм-(1568)Физика-(3942)Философия-(17015)Финансы-(26596)Химия-(22929)Экология-(12095)Экономика-(9961)Электроника-(8441)Электротехника-(4623)Энергетика-(12629)Юриспруденция-(1492)Ядерная техника-(1748)

Свойства производственной функции




1.

 

2. Графически каждый способ производства можно представить точкой, координаты которой характеризуют необходимые для данного выпуска продукта количества факторов , а производственную функцию – линией равного выпуска, или изоквантой, которая показывает все возможные комбинации ресурсов, обеспечивающие одинаковый выпуск

3. Увеличение какого-либо фактора приводит к росту выпуска, т.е.

 

 

если .

 

Таким образом, если ПФ дифференцируема, то это эквивалентно

 

 

4. Вклад факторов в производственный процесс можно оценить средним и предельным продуктом (производительностью) фактора. Средний продукт (производительность) - фактора представляет количество выпущенной продукции, приходящееся на единицу затрат этого фактора

 

Предельный продукт (предельная производительность) - фактора (ППXi) это дополнительное количество продукта DY, произведенного за счет использования дополнительной единицы фактора при неизменных остальных факторах

 

 

В случае непрерывной производственной функции ППXi оценивается

 

.

 

 

Закон убывающей производительности. Этот закон гласит, что при последовательном увеличении любого производственного фактора на единицу (при постоянстве остальных ресурсов) приросты объемов выпуска уменьшаются, т.е.

 

(2)

 

5. В долгосрочном периоде, когда все факторы могут быть переменными, появляется возможность замены одного фактора другим, например, капитала трудом, при сохранении постоянного объема выпуска продукта. Возможность подобной замены характеризуется предельной нормой технологического замещения - фактора - фактором rij (MRTS – marginal rate of technical substitution) - величиной, на которую должен быть увеличен - фактор, чтобы заменить единицу - фактора при постоянном объеме выпуска продукта. Она определяется отношением

 

rij= -DXj/DXi, Y=F (X,a)=const,

 

где DXi и DXj – малые изменения факторов, или для непрерывного случая

 

.

 

MRTS связана с предельными продуктами факторов

 

(3)

 

6. При выбранном способе производства прирост выпуска продукта возможен за счет пропорционального увеличения всех используемых ресурсов. Это называется изменение масштаба производства.

 

 

Показатель m характеризует степень однородности функции

 

- постоянная (пропорциональная) отдача от масштаба; в этом случае ПФ называется линейно-однородной,

 

- возрастающая отдача от масштаба

 

- убывающая отдача от масштаба

 

6. Количественно изменение масштаба производства можно охарактеризовать эластичностью выпуска по факторам как отношение увеличения выпуску продукции к увеличению затрат данного фактора на один процент

 

. (4)

 

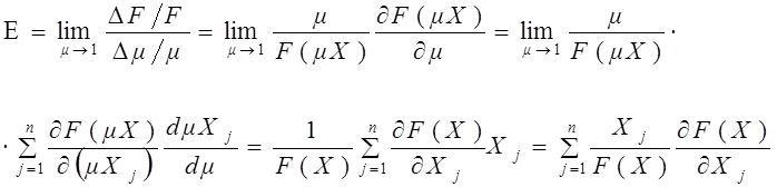
Более обобщенным является эластичность производства, показывающая относительное увеличение выпуска при увеличении затрат всех факторов на один процент

 

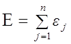
(5)

 

(6)

 

 




Поделиться с друзьями:


Дата добавления: 2014-01-04; Просмотров: 222; Нарушение авторских прав?; Мы поможем в написании вашей работы!


Нам важно ваше мнение! Был ли полезен опубликованный материал? Да | Нет



studopedia.su - Студопедия (2013 - 2026) год. Все материалы представленные на сайте исключительно с целью ознакомления читателями и не преследуют коммерческих целей или нарушение авторских прав! Последнее добавление




Генерация страницы за: 0.012 сек.