Студопедия

КАТЕГОРИИ:


Архитектура-(3434)Астрономия-(809)Биология-(7483)Биотехнологии-(1457)Военное дело-(14632)Высокие технологии-(1363)География-(913)Геология-(1438)Государство-(451)Демография-(1065)Дом-(47672)Журналистика и СМИ-(912)Изобретательство-(14524)Иностранные языки-(4268)Информатика-(17799)Искусство-(1338)История-(13644)Компьютеры-(11121)Косметика-(55)Кулинария-(373)Культура-(8427)Лингвистика-(374)Литература-(1642)Маркетинг-(23702)Математика-(16968)Машиностроение-(1700)Медицина-(12668)Менеджмент-(24684)Механика-(15423)Науковедение-(506)Образование-(11852)Охрана труда-(3308)Педагогика-(5571)Полиграфия-(1312)Политика-(7869)Право-(5454)Приборостроение-(1369)Программирование-(2801)Производство-(97182)Промышленность-(8706)Психология-(18388)Религия-(3217)Связь-(10668)Сельское хозяйство-(299)Социология-(6455)Спорт-(42831)Строительство-(4793)Торговля-(5050)Транспорт-(2929)Туризм-(1568)Физика-(3942)Философия-(17015)Финансы-(26596)Химия-(22929)Экология-(12095)Экономика-(9961)Электроника-(8441)Электротехника-(4623)Энергетика-(12629)Юриспруденция-(1492)Ядерная техника-(1748)

Перетворення Лапласа

Реальні САК мають математичну модель у вигляді складних диференціальних рівнянь, розв'язок яких у загальному вигляді в більшості випадків неможливий. Для полегшення даної задачі розроблено декілька методів. Найбільш поширеним є метод перетворення Лапласа, побудований на тому, що функції часу замінюють їх зображеннями.

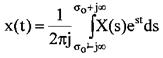
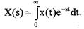
Перетворенням Лапласа називають співвідношення:

Це співвідношення ставить у відповідність функції x(t) дійсної змінної t функцію X(s) комплексної змінної s ().

При цьому x(t) називають оригіналом, a X(s) - зображенням за Лапласом. Це записують таким чином: , або .

Інколи використовують символічний запис: , де L - оператор Лапласа.

Співвідношення

визначає за відомим зображенням його оригінал і називається оберненим перетворенням Лапласа. Символічно це можна записати так: де – обернений оператор Лапласа.

Перетворення Лапласа є дуже цінним методом аналізу і синтезу систем керування, коли необхідно визначити перехідні процеси і точність регулювання в усталеному режимі. Але слід пам'ятати, що це перетворення є справедливим тільки для лінійних стаціонарних (з постійними параметрами) систем. У нестаціонарних системах один або декілька параметрів залежать від часу, тому перетворенням Лапласа користуватися не можна. Перетворення Лапласа не можна використовувати також для аналізу нелінійних систем.

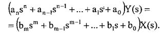
У курсі ТАК прийнята стандартна форма запису лінійних диференціальних рівнянь, при якій члени, що містять вихідну величину та її похідні, записують у лівій частині рівняння, а решту членів - у правій частині. Коефіцієнт при вихідній величині y(t) роблять рівним одиниці.

 

Рівняння (3) може бути записано також в операційній формі, якщо до лівої та правої частин застосувати перетворення Лапласа:

(7)

Зовні рівняння (3) і (7) схожі, але вони принципово відрізняються одне від одного, оскільки в першому буква р позначає оператор диференціювання d/dt, а змінні x(t) та y(t) є реальними функціями часу. Тобто рівняння залишається диференціальним. Рівняння (7) - алгебраїчне. У ньому буква s позначає комплексу змінну, а величини X(s) і Y(s) є зображеннями фізичних величин x(t) та y(t).

Крім того, схожість даних рівнянь можлива, тільки якщо система стаціонарна, тобто коефіцієнти аj bj постійні, а початкові умови для диференціального рівняння нульові.

Операційна форма запису рівнянь проста і зручна, оскільки перетворити та розв'язати алгебраїчне рівняння простіше, ніж диференціальне. Це забезпечило її широке застосування в теорії автоматичного керування.

Введемо поняття передавальної функції за Лапласом.

Передавальною функцією за Лапласом W(s) називається відношення зображення вихідної величини до зображення вхідної величини за нульових початкових умов.

Із (7) отримуємо:

(8)

Тоді рівняння можна записати у вигляді

Y(s) = W(s)*X(s). (9)

Знаменник передавальної функції (8) є характеристичним поліномом системи. Якщо його прирівняти до нуля, отримаємо характеристичне рівняння САК, тобто

Корені характеристичного рівняння визначають характер руху системи і називаються полюсами передавальної функції, а корені чисельника називаються нулями передавальної функції. У полюсах функція W(s) перетворюється на нескінченність, а в нулях вона стає рівною нулю. Розміщення полюсів на комплексній s-площині визначає характер власного (вільного) руху системи.

Передавальна функція системи W(s) та її часові функції h(t) і w(t) пов'язані між собою:

L{h(t)} = W(s)/s - зображення перехідної функції;

L{w(t)} = W(s) - зображення імпульсної перехідної функції.

Звідси, відповідно, можна записати:

. (10)

Співвідношення (10) дозволяють знайти перехідну та імпульсну перехідну функції САК за її відомою передавальною функцією W(s). Для цього можуть бути використані таблиці зображень основних елементарних функцій чи теорема розкладу.

<== предыдущая лекция | следующая лекция ==>
Математичні моделі САК. Рівняння динаміки і статики | Перетворення Лапласа найпростіших функцій
Поделиться с друзьями:


Дата добавления: 2014-01-04; Просмотров: 3101; Нарушение авторских прав?; Мы поможем в написании вашей работы!


Нам важно ваше мнение! Был ли полезен опубликованный материал? Да | Нет



studopedia.su - Студопедия (2013 - 2026) год. Все материалы представленные на сайте исключительно с целью ознакомления читателями и не преследуют коммерческих целей или нарушение авторских прав! Последнее добавление




Генерация страницы за: 0.012 сек.