Студопедия

КАТЕГОРИИ:


Архитектура-(3434)Астрономия-(809)Биология-(7483)Биотехнологии-(1457)Военное дело-(14632)Высокие технологии-(1363)География-(913)Геология-(1438)Государство-(451)Демография-(1065)Дом-(47672)Журналистика и СМИ-(912)Изобретательство-(14524)Иностранные языки-(4268)Информатика-(17799)Искусство-(1338)История-(13644)Компьютеры-(11121)Косметика-(55)Кулинария-(373)Культура-(8427)Лингвистика-(374)Литература-(1642)Маркетинг-(23702)Математика-(16968)Машиностроение-(1700)Медицина-(12668)Менеджмент-(24684)Механика-(15423)Науковедение-(506)Образование-(11852)Охрана труда-(3308)Педагогика-(5571)Полиграфия-(1312)Политика-(7869)Право-(5454)Приборостроение-(1369)Программирование-(2801)Производство-(97182)Промышленность-(8706)Психология-(18388)Религия-(3217)Связь-(10668)Сельское хозяйство-(299)Социология-(6455)Спорт-(42831)Строительство-(4793)Торговля-(5050)Транспорт-(2929)Туризм-(1568)Физика-(3942)Философия-(17015)Финансы-(26596)Химия-(22929)Экология-(12095)Экономика-(9961)Электроника-(8441)Электротехника-(4623)Энергетика-(12629)Юриспруденция-(1492)Ядерная техника-(1748)

Свойства неопределенного интеграла




Рассмотрим без доказательства основные свойства неопределенного интеграла.

1. Производная от неопределенного интеграла равна подынтегральной функции, т.е. (ò f(x)dx)` = f(x).

2. Дифференциал неопределенного интеграла равен подынтегральному выражению, т.е. d(ò f(x)dx) = f(x)dx.

3. Неопределенный интеграл от дифференциала некоторой функции равен этой функции с точностью до постоянного слагаемого, т.е.
ò dF(x) = F(x) + C.

Сравнивая между собой свойства 2 и 3, можно сказать, что операции нахождения неопределенного интеграла и дифференциала взаимнообратны (знаки d и ò взаимно уничтожают друг друга, в случае свойства 3, правда, с точностью до постоянного слагаемого).

4. Постоянный множитель можно выносить за знак интеграла, т.е.
ò C*f(x)dx = C*ò f(x)dx.

5. Интеграл от алгебраической суммы двух функций равен сумме интегралов от этих функций, т.е. ò (f1(x) + f2(x))dx = ò f1(x)dx + ò f2(x)dx (это свойство остается справедливым для любого конечного числа слагаемых).

 

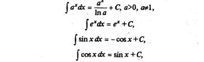
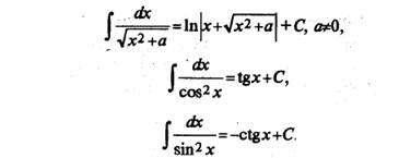
Список («таблица») основных интегралов

Перечислим интегралы от элементарных функций, которые иногда называют табличными:

Любую из приведенных выше формул можно доказать, взяв производную от правой части (в результате будет получены подынтегральная функция).




Поделиться с друзьями:


Дата добавления: 2014-01-05; Просмотров: 376; Нарушение авторских прав?; Мы поможем в написании вашей работы!


Нам важно ваше мнение! Был ли полезен опубликованный материал? Да | Нет



studopedia.su - Студопедия (2013 - 2026) год. Все материалы представленные на сайте исключительно с целью ознакомления читателями и не преследуют коммерческих целей или нарушение авторских прав! Последнее добавление




Генерация страницы за: 0.01 сек.