Студопедия

КАТЕГОРИИ:


Архитектура-(3434)Астрономия-(809)Биология-(7483)Биотехнологии-(1457)Военное дело-(14632)Высокие технологии-(1363)География-(913)Геология-(1438)Государство-(451)Демография-(1065)Дом-(47672)Журналистика и СМИ-(912)Изобретательство-(14524)Иностранные языки-(4268)Информатика-(17799)Искусство-(1338)История-(13644)Компьютеры-(11121)Косметика-(55)Кулинария-(373)Культура-(8427)Лингвистика-(374)Литература-(1642)Маркетинг-(23702)Математика-(16968)Машиностроение-(1700)Медицина-(12668)Менеджмент-(24684)Механика-(15423)Науковедение-(506)Образование-(11852)Охрана труда-(3308)Педагогика-(5571)Полиграфия-(1312)Политика-(7869)Право-(5454)Приборостроение-(1369)Программирование-(2801)Производство-(97182)Промышленность-(8706)Психология-(18388)Религия-(3217)Связь-(10668)Сельское хозяйство-(299)Социология-(6455)Спорт-(42831)Строительство-(4793)Торговля-(5050)Транспорт-(2929)Туризм-(1568)Физика-(3942)Философия-(17015)Финансы-(26596)Химия-(22929)Экология-(12095)Экономика-(9961)Электроника-(8441)Электротехника-(4623)Энергетика-(12629)Юриспруденция-(1492)Ядерная техника-(1748)

Методы интегрирования




Рассмотрим некоторые основные методы интегрирования. К ним относятся:

 

1. Метод разложения (непосредственного интегрирования).

Этот методоснован на непосредственном применении табличных интегралов, а также на применении свойств 4 и 5 неопределенного интеграла (т.е. на выносе за скобку постоянного сомножителя и/или представления подынтегральной функции в виде суммы функций – разложения подынтегральной функции на слагаемые).

 

Пример 1. Например, для нахождения ò(dx/x4) можно непосредственно воспользоваться табличным интегралом для òxndx. В самом деле,
ò(dx/x4) = òx-4dx = x-3/(-3) + C = -1/3x3 + C.

Рассмотрим еще несколько примеров.

Пример 2. Для нахождения воспользуемся тем же интегралом:

 

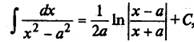
Пример 3. Для нахождения надо взять

 

Пример 4. Чтобы найти , представим подынтегральную функцию в виде и используем табличный интеграл для показательной функции:

 

Рассмотрим использование выноса за скобку постоянного сомножителя.

Пример 5. Найдем, например . Учитывая, что, получим

 

Пример 6. Найдем . Поскольку , воспользуемся табличным интегралом Получим

 

В следующих двух примерах также можно использовать вынос за скобки и табличные интегралы:

Пример 7.

(используем и );

 

Пример 8.

(используем и ).

 

Рассмотрим более сложные примеры, в которых используется интеграл суммы.

Пример 9. Например, найдем . Для применения метода разложения в числителе используем формулу куба суммы*, а затем полученный многочлен почленно разделим на знаменатель.

= ò ((8x3/2 + 12x + 6x1/2 + 1)/(x3/2))dx = ò ((8x3/2 + 12x +
+ 6x1/2 + 1)/(x3/2))dx = ò (8 + 12x-1/2 + 6/x + x-3/2)dx = 8ò dx + 12ò x-1/2dx +
+ 6ò dx /x + ò x-3/2dx =

Следует отметить, что в конце решения записана одна общая постоянная С (а не отдельные при интегрировании каждого слагаемого). В дальнейшем также предлагается опускать в процессе решения постоянные от интегрирования отдельных слагаемых до тех пор, пока выражение содержит хотя бы один неопределенный интеграл (будем записывать одну постоянную в конце решения).

 

Пример 10. Найдем . Для решения этой задачи разложим на множители числитель (после этого удастся сократить знаменатель).

 

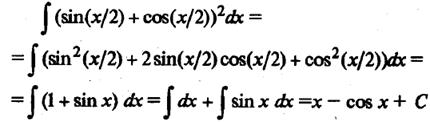
Пример 11. Найдем . Здесь можно использовать тригонометрические тождества.

 

Иногда, чтобы разложить выражение на слагаемые, приходится применять более сложные приемы.

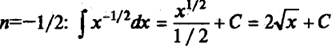
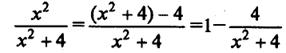
Пример 12. Найдем . В подынтегральной функции выделим целую часть дроби . Тогда

.

 


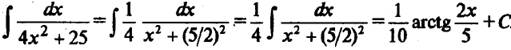
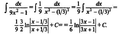
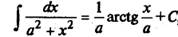
Пример 13. Найдем

 




Поделиться с друзьями:


Дата добавления: 2014-01-05; Просмотров: 329; Нарушение авторских прав?; Мы поможем в написании вашей работы!


Нам важно ваше мнение! Был ли полезен опубликованный материал? Да | Нет



studopedia.su - Студопедия (2013 - 2026) год. Все материалы представленные на сайте исключительно с целью ознакомления читателями и не преследуют коммерческих целей или нарушение авторских прав! Последнее добавление




Генерация страницы за: 0.011 сек.