Студопедия

КАТЕГОРИИ:


Архитектура-(3434)Астрономия-(809)Биология-(7483)Биотехнологии-(1457)Военное дело-(14632)Высокие технологии-(1363)География-(913)Геология-(1438)Государство-(451)Демография-(1065)Дом-(47672)Журналистика и СМИ-(912)Изобретательство-(14524)Иностранные языки-(4268)Информатика-(17799)Искусство-(1338)История-(13644)Компьютеры-(11121)Косметика-(55)Кулинария-(373)Культура-(8427)Лингвистика-(374)Литература-(1642)Маркетинг-(23702)Математика-(16968)Машиностроение-(1700)Медицина-(12668)Менеджмент-(24684)Механика-(15423)Науковедение-(506)Образование-(11852)Охрана труда-(3308)Педагогика-(5571)Полиграфия-(1312)Политика-(7869)Право-(5454)Приборостроение-(1369)Программирование-(2801)Производство-(97182)Промышленность-(8706)Психология-(18388)Религия-(3217)Связь-(10668)Сельское хозяйство-(299)Социология-(6455)Спорт-(42831)Строительство-(4793)Торговля-(5050)Транспорт-(2929)Туризм-(1568)Физика-(3942)Философия-(17015)Финансы-(26596)Химия-(22929)Экология-(12095)Экономика-(9961)Электроника-(8441)Электротехника-(4623)Энергетика-(12629)Юриспруденция-(1492)Ядерная техника-(1748)

Дуговая и точечная эластичность




Ценовая эластичность спроса и ее измерение.

Эластичность спроса и предложения

 

Очень часто нас интересует, насколько спрос чувствителен к изменениям цены. На этот вопрос отвечает ценовая эластичность спроса.

Ценовая эластичность спроса есть реакция спроса на благо в ответ на изменение цены.

Как мы неоднократно убедимся в дальнейшем, ценовая эластичность спроса играет ключевую роль в понимании многих проблем микроэкономического анализа. В частности, поэтому необходимо найти ее измеритель.

Говоря о ценовой эластичности спроса, мы всегда желаем сравнить величину изменения в количестве пользующегося спросом блага с величиной изменения в его цене. Однако нетрудно заметить, что цена и количество измеряются в различных единицах. Отсюда имеет смысл сравнивать только процентные или относительные изменения.

Ценовая эластичность спроса есть процентное (относительное) изменение в количестве блага деленное на процентное (относительное) изменение в цене блага.

Это же можно выразить через очень простую формулу:

 

ED = D QD %/D P %, (2.8)

 

где ED – ценовая эластичность спроса, а D означает изменение в соответствующей величине. Например, если цена килограмма муки выросла на 10%, а спрос на нее сократился на 5%, то можно утверждать, что ценовая эластичность спроса (ED) составляет (-5)/10 = - 0,5. Если же, допустим, цена 1 м2 шерстяной ткани упала на 10%, а объём спроса на нее увеличился на 15%, то ED = 15/(-10) = - 1,5.

Обратим сразу внимание на знак. Поскольку кривые спроса имеют отрицательный наклон, то цена и количество блага меняются в противоположных направлениях. Таким образом, ценовая эластичность спроса всегда отрицательна. Поэтому в дальнейшем нас будет интересовать только ее абсолютное значение.

В зависимости от абсолютных значений ценовой эластичности говорят об эластичном или неэластичном спросе.

Если |ED| > 1, то спрос - эластичный.

Спрос является эластичным, когда на каждый процент изменения цены спрос изменяется более чем на один процент.

Если |ED| < 1, то спрос - неэластичный.

Спрос является неэластичным, когда на каждый процент изменения цены спрос изменяется менее чем на один процент.

В особом случае, когда |ED| = 1, спрос характеризуется единичнойэластичностью по цене.

Единичная эластичность спроса имеет место, когда на каждый процент изменения цены спрос изменяется тоже ровно на один процент.

 

Рассмотрим два метода определения ценовой эластичности спроса.

1. Дуговой метод. Обратимся к кривой спроса на рис. 2.11.

Рис. 2.11. Определение ценовой эластичности спроса.

 

Ценовая эластичность спроса будет различной на различных ее участках. Так, на участке ab спрос будет неэластичным, а на участке cd – эластичным. Измеренная на этих участках эластичность называется дуговой эластичностью. [8]

Дуговая эластичность – это эластичность, измеренная между двумя точками кривой.

Фактически приведенная нами выше формула 2.8 была формулой дуговой эластичности. В числителе в ней фигурировало изменение количества блага в процентном выражении. Если мы отвлечемся от процентного выражения этого изменения и посмотрим, что есть относительное изменение Q, то нетрудно определить его как D Q / Q. [9] Аналогичным образом относительное изменение цены можно представить как D Р / Р. Тогда ценовая эластичность спроса может быть представлена:

 

ED = (2.9)

 

В качестве D Q берется разность между двумя значениями спроса на благо. Например, применительно к рис. 2.11 это могут быть разности (Q a - Q b) или (Q c - Q d). В качестве D Р берется разность между двумя значениями цены, допустим (P a - P b) или (P c - P d). Проблема заключается в том, какое из двух значений количества блага и цены использовать в формуле 2.9 в качестве значений Q и Р. Понятно, что при разных значениях получается разный результат. Решение проблемы заключается в том, чтобы использовать среднее арифметическое двух значений. В таком случае мы измеряем некую среднюю эластичность на спрямляющих дуги отрезках ab и cd, и формула дуговой эластичности принимает вид:

 

ED = ,

 

где = (P a + P b)/2 или = (P с + P d)/2, а = (Q a + Q b)/2 или = (Q с + Q d)/2 (опять же нижние индексы отвечают обозначениям из рис. 2.11). Если же мы рассмотрим некий общий случай и обозначим значения количеств блага и цены как Q 1, Q 2 и P 1, P 2, соответственно, то окончательно формулу дуговой эластичности после некоторых элементарных алгебраических преобразований можно представить как:

 

ED =

 

Именно этой формулой удобнее всего пользоваться при реальных вычислениях дуговой эластичности. Конечно, для этого необходимо знать числовые значения Q 1, Q 2 и P 1, P 2.

Дуговая эластичность может рассчитываться и для случая линейной функции спроса для любых ее отрезков.

2. Точечный метод. Представим теперь, что нам нужно определить эластичность не на отрезках ab и cd, а в некоторой произвольно взятой точке f на кривой спроса (рис. 2.11). В этом случае можно воспользоваться формулой 2.9, но заменив D Q и D Р бесконечно малыми величинами. Тогда эластичность можно определить как:

 

ED = (2.10)

 

Формула 2.10 показывает точечную эластичность спроса.

Точечная эластичность – это эластичность, измеренная в некоторой точке кривой.

dQ / dP – показывает изменение спроса в ответ на изменение цены. На рис. 2.11 – это тангенс угла, образуемый касательной к кривой спроса в точке f и осью ординат (tg a). Он равен –70/50 = - 1,44 (знак минус обусловлен отрицательным наклоном кривой спроса и, соответственно, касательной к ней). Относительно точки f P f = 25, а Q f = 35. Подставляем эти значения в формулу 2.10 и получаем, что ED = - 1,44 × (25/35) = - 1,0. Следовательно, выше этой точки по кривой спроса спрос неэластичен, ниже – эластичен.

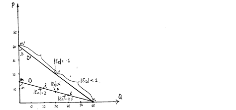
При изучении эластичности необходимо особо обратить внимание на то, что она лишь частично определяется наклоном кривой спроса. Это можно легко заметить на примере линейной функции спроса. С этой целью выберем знакомую нам функцию спроса Q D = 60 - 4P и изобразим ее на рис. 2.12.

Рис. 2.12. Различные эластичности линейных функций спроса.

 

 

 

Очевидно, что у линейной функции угол наклона во всех ее точках одинаков. В нашем случае dQ / dP = tg a = - 4 на всем ее протяжении. Однако в разных ее точках значение ценовой эластичности будет различным в зависимости от выбранных значений Р и Q. Так, например, в точке k эластичность равна 2, а в точке l уже только 0,5. В точке u, которая делит линию спроса mn ровно пополам, эластичность составляет 1.

Теперь предположим, что спрос возрос так, что линия спроса сместилась в положение m ¢ n. Она теперь описывается функцией Q D = 60 - 1,5P. Хорошо видно, что угол ее наклона существенно изменился. Здесь dQ / dP = tg b = - 1,5. Однако, например, в точке u ¢ эластичность спроса равна - 1, как и в точке u на линии спроса mn.

Заметим, что в точке, которая делит прямую линию спроса пополам, эластичность всегда равна – 1. На отрезке выше этой точки спрос в любой точке эластичный, ниже - неэластичный в любой точке. Эти утверждения можно легко доказать, зная формулу определения эластичности и элементарную геометрию.

До сих пор мы стремились показать, что значения ценовой эластичности спроса различны для различных участков и точек линии, представляющих одну и ту же функцию спроса. Однако можно указать на три исключения, когда эластичность одинакова для всей кривой спроса. Во-первых, нетрудно заметить, что когда последняя представлена вертикальной прямой линией (рис. 2.13, график А), то эластичность спроса равна 0 (т.к. dQ / dP = 0). Такой спрос называют абсолютно неэластичным.

Рис. 2.13. Графики функций спроса с постоянными эластичностями.

 

Во-вторых, если кривая спроса представлена горизонтальной прямой линией (рис. 2.13, график Б), то эластичность спроса равна бесконечности (т.к. dQ / dP = ). Такой спрос называют абсолютно эластичным.

И, наконец, в-третьих, когда кривая спроса представлена правильной гиперболой (рис. 2.13, график В), т.е. Q D = 1/ P. Используя формулу 2.10 можно установить, что ее эластичность постоянна и равна - 1, т.е. |ED| = 1.[10]

 




Поделиться с друзьями:


Дата добавления: 2014-01-05; Просмотров: 1047; Нарушение авторских прав?; Мы поможем в написании вашей работы!


Нам важно ваше мнение! Был ли полезен опубликованный материал? Да | Нет



studopedia.su - Студопедия (2013 - 2026) год. Все материалы представленные на сайте исключительно с целью ознакомления читателями и не преследуют коммерческих целей или нарушение авторских прав! Последнее добавление




Генерация страницы за: 0.012 сек.