Студопедия

КАТЕГОРИИ:


Архитектура-(3434)Астрономия-(809)Биология-(7483)Биотехнологии-(1457)Военное дело-(14632)Высокие технологии-(1363)География-(913)Геология-(1438)Государство-(451)Демография-(1065)Дом-(47672)Журналистика и СМИ-(912)Изобретательство-(14524)Иностранные языки-(4268)Информатика-(17799)Искусство-(1338)История-(13644)Компьютеры-(11121)Косметика-(55)Кулинария-(373)Культура-(8427)Лингвистика-(374)Литература-(1642)Маркетинг-(23702)Математика-(16968)Машиностроение-(1700)Медицина-(12668)Менеджмент-(24684)Механика-(15423)Науковедение-(506)Образование-(11852)Охрана труда-(3308)Педагогика-(5571)Полиграфия-(1312)Политика-(7869)Право-(5454)Приборостроение-(1369)Программирование-(2801)Производство-(97182)Промышленность-(8706)Психология-(18388)Религия-(3217)Связь-(10668)Сельское хозяйство-(299)Социология-(6455)Спорт-(42831)Строительство-(4793)Торговля-(5050)Транспорт-(2929)Туризм-(1568)Физика-(3942)Философия-(17015)Финансы-(26596)Химия-(22929)Экология-(12095)Экономика-(9961)Электроника-(8441)Электротехника-(4623)Энергетика-(12629)Юриспруденция-(1492)Ядерная техника-(1748)

Модуль деформации

 

Напомним, что все выкладки, приведенные в предыдущем пункте, относятся к некоторому интервалу изменения напряжений от σ ' до σ ", где грунт может рассматриваться как линейно деформируемая среда. Тогда уравнение (6.13) правильнее было бы записать в приращениях, т. е.

(6.14)

 

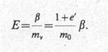
Если теперь вернуться к анализу компрессионной кривой и иметь в виду, что ∆εz = ∆ε, a ∆ σ z =σ, то, приравнивая выражения (6.8) и (6.14), получим

(6.15)

 

Таким образом, модуль деформации грунта, определяемый по результатам компрессионных испытаний в некотором интервале изменения напряжений, непосредственно связан с изменением его коэффициента пористости. Коэффициент сжимаемости m0 или относительный коэффициент сжимаемости mv могут быть определены в соответствии с построениями на рис. 6.6. Для определения коэффициента β необходимо знать величины v или ξ, в этом же интервале изменения напряжений. При отсутствии этих данных коэффициент β допускается принимать равным: для пылеватых и мелких песков — 0,8; супесей — 0,7; суглинков — 0,5; глин — 0,4.

Модуль деформации грунта является важным показателем его деформационных свойств, характеризующим уплотняемость грунта при нагружении. Он используется при расчете осадок сооружений на грунтовых основаниях. При необходимости определения восстановления деформаций в результате разгрузки грунта используется модуль упругости, определяемый по значениям коэффициента разуплотнения или относительного коэффициента разуплотнения грунта.

 

<== предыдущая лекция | следующая лекция ==>
Общий случай компрессионной зависимости | Модуль объемной деформации и модуль сдвига
Поделиться с друзьями:


Дата добавления: 2014-01-05; Просмотров: 403; Нарушение авторских прав?; Мы поможем в написании вашей работы!


Нам важно ваше мнение! Был ли полезен опубликованный материал? Да | Нет



studopedia.su - Студопедия (2013 - 2026) год. Все материалы представленные на сайте исключительно с целью ознакомления читателями и не преследуют коммерческих целей или нарушение авторских прав! Последнее добавление




Генерация страницы за: 0.01 сек.