Студопедия

КАТЕГОРИИ:


Архитектура-(3434)Астрономия-(809)Биология-(7483)Биотехнологии-(1457)Военное дело-(14632)Высокие технологии-(1363)География-(913)Геология-(1438)Государство-(451)Демография-(1065)Дом-(47672)Журналистика и СМИ-(912)Изобретательство-(14524)Иностранные языки-(4268)Информатика-(17799)Искусство-(1338)История-(13644)Компьютеры-(11121)Косметика-(55)Кулинария-(373)Культура-(8427)Лингвистика-(374)Литература-(1642)Маркетинг-(23702)Математика-(16968)Машиностроение-(1700)Медицина-(12668)Менеджмент-(24684)Механика-(15423)Науковедение-(506)Образование-(11852)Охрана труда-(3308)Педагогика-(5571)Полиграфия-(1312)Политика-(7869)Право-(5454)Приборостроение-(1369)Программирование-(2801)Производство-(97182)Промышленность-(8706)Психология-(18388)Религия-(3217)Связь-(10668)Сельское хозяйство-(299)Социология-(6455)Спорт-(42831)Строительство-(4793)Торговля-(5050)Транспорт-(2929)Туризм-(1568)Физика-(3942)Философия-(17015)Финансы-(26596)Химия-(22929)Экология-(12095)Экономика-(9961)Электроника-(8441)Электротехника-(4623)Энергетика-(12629)Юриспруденция-(1492)Ядерная техника-(1748)

Пример 7

Пример 6.

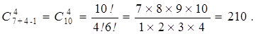
В кондитерской имеется 7 видов пирожных. Покупатель берет 4 пирожных. Сколькими способами он может это сделать? (Предполагается, что пирожных каждого вида ³ 4).

Число способов будет

Пусть V = { a, b, c }. Объем выборки m = 2. Перечислить перестановки, размещения, сочетания, размещения с повторениями, сочетания с повторениями.

1. Перестановки: { abc, bac, bca, acb, cab, cba }. P 3=3!=6.

2. Размещения: {(ab), (bc), (ac), (ba), (cb), (ca)}.

3. Сочетания: {(ab), (ac), (bc)}.

4. Размещения с повторениями: {(ab), (bc), (ac), (ba), (cb), (ca), (aa), (bb), (cc)}. (3)= 32 = 9.

5. Сочетания с повторениями: {(ab), (bc), (ca), (aa), (bb), (cc)}.

 

<== предыдущая лекция | следующая лекция ==>
Сочетания | Пример 1. Тема 3.2. Разбиения. Включения и исключения
Поделиться с друзьями:


Дата добавления: 2014-01-05; Просмотров: 880; Нарушение авторских прав?; Мы поможем в написании вашей работы!


Нам важно ваше мнение! Был ли полезен опубликованный материал? Да | Нет



studopedia.su - Студопедия (2013 - 2025) год. Все материалы представленные на сайте исключительно с целью ознакомления читателями и не преследуют коммерческих целей или нарушение авторских прав! Последнее добавление




Генерация страницы за: 0.014 сек.