Студопедия

КАТЕГОРИИ:


Архитектура-(3434)Астрономия-(809)Биология-(7483)Биотехнологии-(1457)Военное дело-(14632)Высокие технологии-(1363)География-(913)Геология-(1438)Государство-(451)Демография-(1065)Дом-(47672)Журналистика и СМИ-(912)Изобретательство-(14524)Иностранные языки-(4268)Информатика-(17799)Искусство-(1338)История-(13644)Компьютеры-(11121)Косметика-(55)Кулинария-(373)Культура-(8427)Лингвистика-(374)Литература-(1642)Маркетинг-(23702)Математика-(16968)Машиностроение-(1700)Медицина-(12668)Менеджмент-(24684)Механика-(15423)Науковедение-(506)Образование-(11852)Охрана труда-(3308)Педагогика-(5571)Полиграфия-(1312)Политика-(7869)Право-(5454)Приборостроение-(1369)Программирование-(2801)Производство-(97182)Промышленность-(8706)Психология-(18388)Религия-(3217)Связь-(10668)Сельское хозяйство-(299)Социология-(6455)Спорт-(42831)Строительство-(4793)Торговля-(5050)Транспорт-(2929)Туризм-(1568)Физика-(3942)Философия-(17015)Финансы-(26596)Химия-(22929)Экология-(12095)Экономика-(9961)Электроника-(8441)Электротехника-(4623)Энергетика-(12629)Юриспруденция-(1492)Ядерная техника-(1748)

Ток проводимости

Токи в полупроводниках

 

Токи в полупроводниках создаются направленным движением носителей заряда и по своей природе являются токами электрической конвекции. В общем случае движение носителей заряда обусловлено двумя процессами: дрейфом под действием сил поля и диффузией за счет существования градиента концентрации. Учитывая то, что перемещаются как электроны, так и дырки, плотность полного тока должна содержать четыре составляющих:

j = jпров.n + jпров.p + jдиф.n + jдиф.p.

Ток проводимости создается перемещением носителей заряда под действием сил поля. Плотность электронного тока проводимости равна:

jпров.n= q·n·n ,

а плотность дырочного тока проводимости равна:

jпров.p= q·p·p ,

где n и p - средние направленные скорости движения электронов и дырок соответственно.

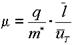
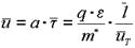
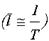
Средняя скорость дрейфа носителей заряда определяется ускорением а и средним временем пробега :

.

Это уравнение можно представить в более простом виде:

= m · e, (1.37)

где - подвижность носителей заряда, определяемая длиной свободного пробега и тепловой скоростью.

Таким образом, плотность электронного тока проводимости равна:

jпров.n= q· n · m n · e, (1.38)

а плотность дырочного тока равна:

jпров.p= q· p · m p· e , (1.39)

Результирующая плотность тока проводимости равна:

jпров= jпров.n+ jпров.p.= q(n · m n + p · m p) e = s · e, (1.40)

где s = q(n · m n + p · m p) - удельная электрическая проводимость полупроводника.

В собственном полупроводнике ni = pi, поэтому

s i= q· ni ( m n + m p); (1.41)

у электронного полупроводника nn >> pn, поэтому

s n= q· nn · m n; (1.42)

у дырочного полупроводника pp >> np, поэтому

s p= q· pp · m p. (1.43)

Из приведенных уравнений следует, что удельная электрическая проводимость полупроводников определяется концентрацией подвижных носителей заряда, зависящей от концентрации примесей и температуры, и подвижности носителей заряда. Подвижность, в свою очередь, зависит от температуры, концентрации примесей и напряженности электрического поля.

При комнатной температуре подвижность электронов в германии составляет 3900 см2/В· с, а в кремнии 1400 см2/В· с, подвижность дырок в германии равна 1900 см2/В· с, а в кремнии 500 см2/В· с. С повышением температуры уменьшается длина свободного пробега носителей заряда и возрастает тепловая скорость движения носителей заряда (). Поэтому с ростом температуры подвижность убывает по закону . Зная зависимость подвижности и концентрации носителей заряда от температуры можно установить температурную зависимость проводимости (рис. 1.14), которая в основном подобна температурной зависимости концентрации носителей заряда, приведенной на рис. 1.7. В области низких температур s n и s p возрастают с ростом температуры из-за увеличения числа ионизированных примесных атомов. В рабочем интервале температур концентрация подвижных носителей заряда сохраняется приблизительно постоянной и равной концентрации примесей, а подвижность уменьшается, поэтому уменьшаются s n и s p. В области высоких температур резко увеличивается тепловая генерация носителей заряда и снижение подвижности не играет существенной роли. Удельная электрическая проводимость собственного полупроводника зависит от температуры по экспоненциальному закону и уменьшение подвижности не имеет принципиального значения.

При невысокой концентрации примесей до 1015 - 1016см-3 подвижность практически не зависит от величины концентрации. При более высокой концентрации примесей ионизированные примесные атомы создают вокруг себя кулоновское поле, искривляющее траектории движения носителей заряда, в результате чего уменьшается длина свободного пробега и соответственно подвижность. В интервале концентраций примеси 1015 - 1019см-3 подвижность изменяется примерно на порядок.

Особую роль играет зависимость подвижности от напряженности поля, так как при этом зависимость между скоростью движения носителей заряда и напряженностью поля становится нелинейной (рис. 1.15). В слабых электрических полях (e <103В/см) носители заряда на длине свободного пробега приобретают относительно малую энергию, не превышающую тепловую энергию . При этом результирующая скорость носителей заряда примерно равна тепловой. При таких условиях подвижность сохраняется постоянной, а скорость дрейфа линейно нарастает с ростом напряженности поля. При напряженности поля более 103 В/см скорость дрейфа становится соизмеримой со скоростью теплового движения, вследствие чего увеличивается результирующая скорость движения носителей заряда, происходит как бы разогрев электронно-дырочного газа. Такие носители заряда, энергия которых сравнима или превышает тепловую энергию, 2/3 КТ называются горячими. В этих условиях с увеличением напряженности поля уменьшается длина свободного пробега, вследствие чего подвижность носителей заряда уменьшается обратно пропорционально, а дрейфовая скорость возрастает прямо пропорционально . Если напряженность поля превышает критическое значение e кр» 104 В/см, то с ростом e подвижность уменьшается обратно пропорционально напряженности поля, а дрейфовая скорость сохраняется неизменной и равной величине uнас» 107 см/с.

<== предыдущая лекция | следующая лекция ==>
Распределение концентрации неравновесных носителей заряда | Ток диффузии
Поделиться с друзьями:


Дата добавления: 2014-01-06; Просмотров: 351; Нарушение авторских прав?; Мы поможем в написании вашей работы!


Нам важно ваше мнение! Был ли полезен опубликованный материал? Да | Нет



studopedia.su - Студопедия (2013 - 2025) год. Все материалы представленные на сайте исключительно с целью ознакомления читателями и не преследуют коммерческих целей или нарушение авторских прав! Последнее добавление




Генерация страницы за: 0.011 сек.