Студопедия

КАТЕГОРИИ:


Архитектура-(3434)Астрономия-(809)Биология-(7483)Биотехнологии-(1457)Военное дело-(14632)Высокие технологии-(1363)География-(913)Геология-(1438)Государство-(451)Демография-(1065)Дом-(47672)Журналистика и СМИ-(912)Изобретательство-(14524)Иностранные языки-(4268)Информатика-(17799)Искусство-(1338)История-(13644)Компьютеры-(11121)Косметика-(55)Кулинария-(373)Культура-(8427)Лингвистика-(374)Литература-(1642)Маркетинг-(23702)Математика-(16968)Машиностроение-(1700)Медицина-(12668)Менеджмент-(24684)Механика-(15423)Науковедение-(506)Образование-(11852)Охрана труда-(3308)Педагогика-(5571)Полиграфия-(1312)Политика-(7869)Право-(5454)Приборостроение-(1369)Программирование-(2801)Производство-(97182)Промышленность-(8706)Психология-(18388)Религия-(3217)Связь-(10668)Сельское хозяйство-(299)Социология-(6455)Спорт-(42831)Строительство-(4793)Торговля-(5050)Транспорт-(2929)Туризм-(1568)Физика-(3942)Философия-(17015)Финансы-(26596)Химия-(22929)Экология-(12095)Экономика-(9961)Электроника-(8441)Электротехника-(4623)Энергетика-(12629)Юриспруденция-(1492)Ядерная техника-(1748)

Малосигнальные схемы замещения транзистора




В общем случае транзистор представляет собой активный (способный преобразовывать энергию источника сигнала) нелинейный четырехполюсник (рис. 3.33,а). Его можно описать семействами характеристик - нелинейными функциями двух переменных.

. (3.45)

В зависимости от схемы включения транзистора величинам i1, i2, u1, u2 соответствуют те или иные реальные токи и напряжения.

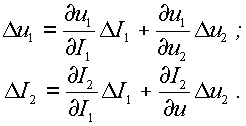
Однако на практике часто приходится сталкиваться с задачей усиления малых сигналов. В этом случае на постоянные составляющие токов I(0) и напряжений U(0) (определяющих рабочую точку транзистора) наложены малые переменные сигналы D i(t), D u(t) или:

(3.46)

Связи между малыми приращениями линейны и определяются полными дифференциаламифункций f1 и f2: (3.47)

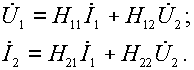
Частные производные перед независимыми переменными обозначим символами h11, h12, h21, h22 и будем называть h -параметрами транзистора. (В зависимости от схемы включения в обозначения добавляется индекс, например, h11Э или h11Б или h11К). Зададим приращения токов и напряжений в виде малых гармонических колебаний. Тогда уравнения (3.47) можно записать:

U1m = h11 I1m + h12 U2m;

I2m = h21I1m + h22 U2m. (3.48)

Уравнениям (3.48) соответствует эквивалентная схема (рис. 3.33,б). Из (3.48) вытекают смысл и наименование h- параметров:

- входное сопротивление транзистора при коротком замыкании на выходе для малой переменной составляющей тока;

- коэффициент обратной связи по напряжению при разомкнутом входе для переменной составляющей тока;

- дифференциальный коэффициент передачи тока при коротком замыкании на выходе для переменной составляющей;

- выходная проводимость транзистора при разомкнутом входе для переменной составляющей тока. Отметим, что h -параметры являются дифференциальными. На высоких частотах между переменными составляющими токов и напряжений появляются фазовые сдвиги и параметры становятся комплексными. При этом (3.48) записываются в виде:

(3.49)




Поделиться с друзьями:


Дата добавления: 2014-01-06; Просмотров: 1424; Нарушение авторских прав?; Мы поможем в написании вашей работы!


Нам важно ваше мнение! Был ли полезен опубликованный материал? Да | Нет



studopedia.su - Студопедия (2013 - 2025) год. Все материалы представленные на сайте исключительно с целью ознакомления читателями и не преследуют коммерческих целей или нарушение авторских прав! Последнее добавление




Генерация страницы за: 0.01 сек.