Студопедия

КАТЕГОРИИ:


Архитектура-(3434)Астрономия-(809)Биология-(7483)Биотехнологии-(1457)Военное дело-(14632)Высокие технологии-(1363)География-(913)Геология-(1438)Государство-(451)Демография-(1065)Дом-(47672)Журналистика и СМИ-(912)Изобретательство-(14524)Иностранные языки-(4268)Информатика-(17799)Искусство-(1338)История-(13644)Компьютеры-(11121)Косметика-(55)Кулинария-(373)Культура-(8427)Лингвистика-(374)Литература-(1642)Маркетинг-(23702)Математика-(16968)Машиностроение-(1700)Медицина-(12668)Менеджмент-(24684)Механика-(15423)Науковедение-(506)Образование-(11852)Охрана труда-(3308)Педагогика-(5571)Полиграфия-(1312)Политика-(7869)Право-(5454)Приборостроение-(1369)Программирование-(2801)Производство-(97182)Промышленность-(8706)Психология-(18388)Религия-(3217)Связь-(10668)Сельское хозяйство-(299)Социология-(6455)Спорт-(42831)Строительство-(4793)Торговля-(5050)Транспорт-(2929)Туризм-(1568)Физика-(3942)Философия-(17015)Финансы-(26596)Химия-(22929)Экология-(12095)Экономика-(9961)Электроника-(8441)Электротехника-(4623)Энергетика-(12629)Юриспруденция-(1492)Ядерная техника-(1748)

Опыт короткого замыкания




Необходимо различать опыт короткого замыкания и режим короткого замыкания, так как в последнем случае имеет место аварийный режим электрического трансформатора, при котором он сильно разогревается и может произойти сгорание трансформатора.

Опыт короткого замыкания - испытание электрического трансформатора при короткозамкнутой цепи вторичной обмотки и номинальном токе в первичной обмотке

I=I.

Этот опыт проводится при аттестации электрического трансформатора для определения важнейших параметров:

- мощности потерь в проводах обмоток (потери в меди) PМ;

- внутреннего падения напряжения;

- коэффициента трансформации и др.

Опыт короткого замыкания (рис. 43), как и опыт холостого хода, обязателен при заводских испытаниях.

Рис.43. Схема опыта короткого замыкания трансформатора

 

В опыте короткого замыкания (U2 = 0) напряжение UM2к, индуктируемое во второй обмотке равно

Uv2k = I2кr2 +j xS2I2к,

где Ir2 - напряжение на резистивном сопротивлении вторичной обмотки; xS2I - напряжение на индуктивном сопротивлении рассеяния вто­ричной обмотки.

Напряжение первичной обмотки в опыте короткого замыкания U при токе I = I составляет 5-10 % от номинального U. Поэтому действующее значение напряжения индукции UM2к составляет лишь 2-5 % от действующего значения UM2 в рабочем (номинальном) режиме.

Пропорционально значению UM2 уменьшается магнитный поток Ф0 в магнитопроводе, а вместе с ним и мощность потерь в магнитопроводе Pс, пропорциональная Ф0.

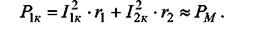
Следовательно, в опыте короткого замыкания почти вся мощность трансформатора P равна мощности потерь в проводах первичной и вторичной обмоток (потери в меди):

Значение этой мощности определяется по показаниям ваттметра рW1 (рис.43). I и I - токи в опыте короткого замыкания соответствующих обмоток трансформатора, определяемые по показаниям амперметров рА1 и рА2.




Поделиться с друзьями:


Дата добавления: 2014-01-06; Просмотров: 577; Нарушение авторских прав?; Мы поможем в написании вашей работы!


Нам важно ваше мнение! Был ли полезен опубликованный материал? Да | Нет



studopedia.su - Студопедия (2013 - 2026) год. Все материалы представленные на сайте исключительно с целью ознакомления читателями и не преследуют коммерческих целей или нарушение авторских прав! Последнее добавление




Генерация страницы за: 0.007 сек.