Студопедия

КАТЕГОРИИ:


Архитектура-(3434)Астрономия-(809)Биология-(7483)Биотехнологии-(1457)Военное дело-(14632)Высокие технологии-(1363)География-(913)Геология-(1438)Государство-(451)Демография-(1065)Дом-(47672)Журналистика и СМИ-(912)Изобретательство-(14524)Иностранные языки-(4268)Информатика-(17799)Искусство-(1338)История-(13644)Компьютеры-(11121)Косметика-(55)Кулинария-(373)Культура-(8427)Лингвистика-(374)Литература-(1642)Маркетинг-(23702)Математика-(16968)Машиностроение-(1700)Медицина-(12668)Менеджмент-(24684)Механика-(15423)Науковедение-(506)Образование-(11852)Охрана труда-(3308)Педагогика-(5571)Полиграфия-(1312)Политика-(7869)Право-(5454)Приборостроение-(1369)Программирование-(2801)Производство-(97182)Промышленность-(8706)Психология-(18388)Религия-(3217)Связь-(10668)Сельское хозяйство-(299)Социология-(6455)Спорт-(42831)Строительство-(4793)Торговля-(5050)Транспорт-(2929)Туризм-(1568)Физика-(3942)Философия-(17015)Финансы-(26596)Химия-(22929)Экология-(12095)Экономика-(9961)Электроника-(8441)Электротехника-(4623)Энергетика-(12629)Юриспруденция-(1492)Ядерная техника-(1748)

Нормальный закон распределения. В теории вероятностей и математической статистике, в различ­ных приложениях важную роль играет портальный закон рас­пределения (закон Гаусса)

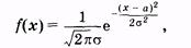
В теории вероятностей и математической статистике, в различ­ных приложениях важную роль играет портальный закон рас­пределения (закон Гаусса). Случайная величина распределена по этому закону, если плотность вероятности ее имеет вид


где а = М(Х) — математическое ожидание случайной величины; а — среднее квадратическое отклонение; следовательно, s2 — дисперсия случайной величины.


 

Кривая нормального закона распределения имеет колоколообразную форму (рис. 2.1), симметричную относительно прямой х = а (центр рассеивания). В точке х = а функция достигает максимума:

По мере возрастания ï х - а ï функция f(x) монотонно убывает, асимптотически приближаясь к нулю. С уменьшением s кривая становится все более и более островершинной. Изменение а при постоянной s не влияет на форму кривой, а лишь сдвигает ее вдоль оси абсцисс. Площадь, заключенная под кривой, согласно условию нормировки, равна единице. На рисунке 2.1 изображены три кривые. Для кривых 1 и 2 а = 0, эти кривые отличаются зна­чением s (s1 < s 2); кривая 3 имеет а ¹ 0 (s = s 2).

 

 

Вычислим функцию распределения (2.19) для этого случая:

 
 


(2.23)

 

Обычно используют иное выражение функции нормального распределения. Введем новую переменную , следовательно, dx = sdt. Подставив эти значения в (2,23), получим

 
 


(2.24)

 

Значения функции Ф(t) обычно находят в специально состав­ленных таблицах (см. [2]), так как интеграл (2.24) через элемен­тарные функции не выражается. График функции Ф(t) изображен на рисунке 2.2.

На основании (2.17) можно вычислить вероятность того, что случайная величина при нормальном распределении находится в интервале 1, х2). Без вывода, по аналогии с (2.24), укажем, что эта вероятность равна

(2.25)

 

 

Воспользуемся выражением (2.25) для вычисления следующих вероятностей


Отметим, что Ф(-t) = 1 - Ф(t), поэтому Р = 2Ф(1) - 1. По таб­лице находим Ф(+1) = 0,8413, откуда

Р = 2 • 0,8413-1 = 0,683; (2.26а)

По таблице находим Ф(2) = 0,9772, откуда

Р = 2 • 0,9772 - 1 = 0,954; (2.26б)

 

По таблице находим Ф(3) = 0,9986, откуда

Р = 2 • 0,9986 - 1 = 0,997. (2.26в)

На рисунке 2.3 приведено нормальное распределение (а = 0) и штриховкой показаны области, площади которых равны вероят­ностям 0,683 и 0,954.

Допустим, что произвольно из нормального распределения вы­бираются группы по п значений случайных величин. Для каждой группы можно найти средние значения, соответственно х1, х2,..., xi,.... Эти средние значения сами образуют нормальное распреде­ление (в отличие от изложенного выше нормального распределе­ния здесь каждому среднему значению xi будет соответствовать не вероятность, а относительная частота). Математическое ожида­ние такого «нового» нормального распределения равно математи­ческому ожиданию исходного нормального распределения, а дис­персия (Dn) и среднее квадратическое отклонение (sп) отличаются соответственно в n в раз относительно этих характеристик исходного распределения:


(2.27)


 

 

Это положение здесь не доказывается, но его можно проиллю­стрировать рисунком 2.4, на котором приведены графики нор­мальных распределений, полученных для групп со значениями п, равными 1, 4, 16, и п ® ¥. Рассмотрим крайние частные случаи. При /г=1 приходим к исходному нормальному распределению, поэтому оп = о. При п ® ¥ sп ® 0; фактически в этом случае «группа случайных величин» — это все исходное распределение, других групп нет, поэтому среднее значение выражается только одним числом и оно соответствует математическому ожиданию. Все распределение сводится к этому значению математического ожидания (на графике представлено вертикальной линией).

<== предыдущая лекция | следующая лекция ==>
Случайной называют такую величину, которая принима­ет значения в зависимости от стечения случайных обсто­ятельств | Распределения Максвелла и Больцмана
Поделиться с друзьями:


Дата добавления: 2014-01-06; Просмотров: 371; Нарушение авторских прав?; Мы поможем в написании вашей работы!


Нам важно ваше мнение! Был ли полезен опубликованный материал? Да | Нет



studopedia.su - Студопедия (2013 - 2026) год. Все материалы представленные на сайте исключительно с целью ознакомления читателями и не преследуют коммерческих целей или нарушение авторских прав! Последнее добавление




Генерация страницы за: 0.009 сек.