Студопедия

КАТЕГОРИИ:


Архитектура-(3434)Астрономия-(809)Биология-(7483)Биотехнологии-(1457)Военное дело-(14632)Высокие технологии-(1363)География-(913)Геология-(1438)Государство-(451)Демография-(1065)Дом-(47672)Журналистика и СМИ-(912)Изобретательство-(14524)Иностранные языки-(4268)Информатика-(17799)Искусство-(1338)История-(13644)Компьютеры-(11121)Косметика-(55)Кулинария-(373)Культура-(8427)Лингвистика-(374)Литература-(1642)Маркетинг-(23702)Математика-(16968)Машиностроение-(1700)Медицина-(12668)Менеджмент-(24684)Механика-(15423)Науковедение-(506)Образование-(11852)Охрана труда-(3308)Педагогика-(5571)Полиграфия-(1312)Политика-(7869)Право-(5454)Приборостроение-(1369)Программирование-(2801)Производство-(97182)Промышленность-(8706)Психология-(18388)Религия-(3217)Связь-(10668)Сельское хозяйство-(299)Социология-(6455)Спорт-(42831)Строительство-(4793)Торговля-(5050)Транспорт-(2929)Туризм-(1568)Физика-(3942)Философия-(17015)Финансы-(26596)Химия-(22929)Экология-(12095)Экономика-(9961)Электроника-(8441)Электротехника-(4623)Энергетика-(12629)Юриспруденция-(1492)Ядерная техника-(1748)

Основные параметры, приблизительный расчет в продольном и поперечном направлениях длинных цилиндрических оболочек

Рассмотрим приближенный расчет прочности длинной цилиндрической оболочки круглого симметричного профиля на действие вертикальной симметричной нагрузки по стадии предельного равновесия.

Схема расчетного напряженного состояния в поперечном сечении оболочки.

 

Условие прочности при моментах внутренних сил, действующих в сечении оболочки, относительно центра круговой части сечения

где М-момент внешних сил, вычисленный как в балке относительно той же точки;

0,8- опытный коэффициент условия работы

Положение границы сжатой зоны можно определить как

При проверке прочности определяют qс. Далее при объединении двух

уравнении получают

Уравнение решают методом последовательного приближения, первоначально приняв sin qс» qс

, после чего вычисляют сечение арматуры As.

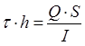
Касательные усилия в оболочке достигают наибольшего значения

Для определения изгибающих моментов My, действующих вдоль волны, из оболочки нужно выделить поперечную полосу единичной длины.

Она находится под действием внешних вертикальной нагрузки q, приложенной по поверхности, и касательных сил, действующих по плоскостям сечения, ограничивающих полосу.

Внутренние усилия в длинной цилиндрической оболочке, как в упругой пространственной системе можно определить по безмоментному напряженному состоянию.

 

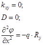
При пологой цилиндрической оболочке можно использовать уравнение

 

Положим, что оболочка,загруженная нагрузкой q, на уровне верха оболочек не может деформироваться вдоль сторон контура (состояние 1).

Тогда

<== предыдущая лекция | следующая лекция ==>
Покрытия с применением цилиндрических оболочек. Длинные цилиндрические оболочки | Краевой эффект
Поделиться с друзьями:


Дата добавления: 2014-01-06; Просмотров: 734; Нарушение авторских прав?; Мы поможем в написании вашей работы!


Нам важно ваше мнение! Был ли полезен опубликованный материал? Да | Нет



studopedia.su - Студопедия (2013 - 2025) год. Все материалы представленные на сайте исключительно с целью ознакомления читателями и не преследуют коммерческих целей или нарушение авторских прав! Последнее добавление




Генерация страницы за: 0.007 сек.