Студопедия

КАТЕГОРИИ:


Архитектура-(3434)Астрономия-(809)Биология-(7483)Биотехнологии-(1457)Военное дело-(14632)Высокие технологии-(1363)География-(913)Геология-(1438)Государство-(451)Демография-(1065)Дом-(47672)Журналистика и СМИ-(912)Изобретательство-(14524)Иностранные языки-(4268)Информатика-(17799)Искусство-(1338)История-(13644)Компьютеры-(11121)Косметика-(55)Кулинария-(373)Культура-(8427)Лингвистика-(374)Литература-(1642)Маркетинг-(23702)Математика-(16968)Машиностроение-(1700)Медицина-(12668)Менеджмент-(24684)Механика-(15423)Науковедение-(506)Образование-(11852)Охрана труда-(3308)Педагогика-(5571)Полиграфия-(1312)Политика-(7869)Право-(5454)Приборостроение-(1369)Программирование-(2801)Производство-(97182)Промышленность-(8706)Психология-(18388)Религия-(3217)Связь-(10668)Сельское хозяйство-(299)Социология-(6455)Спорт-(42831)Строительство-(4793)Торговля-(5050)Транспорт-(2929)Туризм-(1568)Физика-(3942)Философия-(17015)Финансы-(26596)Химия-(22929)Экология-(12095)Экономика-(9961)Электроника-(8441)Электротехника-(4623)Энергетика-(12629)Юриспруденция-(1492)Ядерная техника-(1748)

Свойства автокорреляционной функции

 

Автокорреляционная функция обладает следующими основными свойствами:

1. при τ = 0 она максимальна и равна энергии сигнала, т.е.

а при анализе СК его дисперсии;

2. является четной функцией

3. является убывающей функцией

 

1.10.5. Свойства взаимной корреляционной функции

 

Взаимная корреляционная функция обладает следующими основными свойствами:

1. при τ = 0:

где Э12 – взаимная энергия двух колебаний;

2. функция в общем случае не является четной функцией и необязательно достигает максимума при τ = 0;

3. является убывающей функцией – с ростом абсолютного значения τ колебаний с конечной энергией, она затухает;

4. обладает зеркальностью, т.е. если вместо задержки одного колебания рассматривать его опережение

1.10.6. Связь энергетического спектра и автокорреляционной функция.

Теорема Винера-Хинчина

 

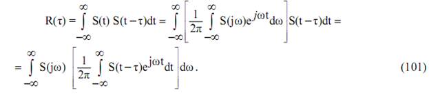
Определим взаимосвязь спектральной характеристики колебания и автокорреляционной функции, используя пару представления Фурье

Выражение, входящее в квадратные скобки, согласно теореме смещения во времени, есть спектральная плотность домноженная на экспоненту јωτ

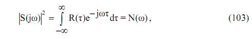
Перемножение комплексно-сопряженной функции есть квадрат модуля этой функции, поэтому

Сравнивая последнее выражение с обратным преобразованием Фурье, можно определить квадрат спектральной плотности как

который по определению есть энергетический спектр СК.

Выражения (102)-(103) определяют суть теоремы Винера-Хинчина, которая утверждает, что энергетический спектр и автокорреляционная функция связаны между собой парой преобразования Фурье. Согласно этой теоремы можно сделать следующие заключения:

1) чем шире энергетический спектр СК, тем уже его автокорреляционная функция;

2) чем быстрее изменяется процесс во времени, тем больше он занимает места в частотной области, медленный процесс имеет более узкий энергетический спектр (рис. 67).

Рис. 67. Взаимосвязь корреляционной функции и спектральной

плотности мощности

 

Для оценки процесса с неопределенными временными параметрами применяют понятие интервала корреляции 2Δτ 0.5 , определяемый по половинному уровню корреляции относительно ее максимального значения. При этом связь с шириной энергетического спектра определяется как

Применяя аналогичные рассуждения в отношении двух, независимых друг от друга, колебаний можно ввести понятие взаимного энергетического спектра, определяемого выражением

При решении ряда прикладных задач такое аналитическое введение является достаточно полезным.

 

 

<== предыдущая лекция | следующая лекция ==>
Корреляционная функция импульсного колебания | Основные законы электродинамики
Поделиться с друзьями:


Дата добавления: 2014-01-07; Просмотров: 3498; Нарушение авторских прав?; Мы поможем в написании вашей работы!


Нам важно ваше мнение! Был ли полезен опубликованный материал? Да | Нет



studopedia.su - Студопедия (2013 - 2026) год. Все материалы представленные на сайте исключительно с целью ознакомления читателями и не преследуют коммерческих целей или нарушение авторских прав! Последнее добавление




Генерация страницы за: 0.01 сек.