Студопедия

КАТЕГОРИИ:


Архитектура-(3434)Астрономия-(809)Биология-(7483)Биотехнологии-(1457)Военное дело-(14632)Высокие технологии-(1363)География-(913)Геология-(1438)Государство-(451)Демография-(1065)Дом-(47672)Журналистика и СМИ-(912)Изобретательство-(14524)Иностранные языки-(4268)Информатика-(17799)Искусство-(1338)История-(13644)Компьютеры-(11121)Косметика-(55)Кулинария-(373)Культура-(8427)Лингвистика-(374)Литература-(1642)Маркетинг-(23702)Математика-(16968)Машиностроение-(1700)Медицина-(12668)Менеджмент-(24684)Механика-(15423)Науковедение-(506)Образование-(11852)Охрана труда-(3308)Педагогика-(5571)Полиграфия-(1312)Политика-(7869)Право-(5454)Приборостроение-(1369)Программирование-(2801)Производство-(97182)Промышленность-(8706)Психология-(18388)Религия-(3217)Связь-(10668)Сельское хозяйство-(299)Социология-(6455)Спорт-(42831)Строительство-(4793)Торговля-(5050)Транспорт-(2929)Туризм-(1568)Физика-(3942)Философия-(17015)Финансы-(26596)Химия-(22929)Экология-(12095)Экономика-(9961)Электроника-(8441)Электротехника-(4623)Энергетика-(12629)Юриспруденция-(1492)Ядерная техника-(1748)

Неопределенности и их раскрытие

Натуральные логарифмы

 

Def. Логарифм с основанием e называют натуральным, т.е. .

Т.к. , то или .

Обозначая , получим

или

,

где M ≈0,434294… – модуль перехода.

 

Различают несколько видов неопределенностей:

 

, , , , , и др.

 

1. . Пусть f(x0)=0 и g(x0)=0, тогда говорят, что неопределенность вида ноль на ноль.

 

а) Если числитель и знаменатель имеют одинаковые сомножители, то их можно сократить, устранив неопределенность.

Ex.1.

 

б) Если содержатся тригонометрические функции, то обычно применяют 1-й замечательный предел.

 

Ex.2.

 

в) Если содержатся радикалы, то числитель и знаменатель умножают на «сопряженный» множитель, учитывая, что и др.

 

Ex.3.

 

 

2. . Неопределенность раскрывается делением числителя и знаменателя на алгебраическое слагаемое в максимальной степени.

3. . Неопределенность раскрывается применением 2-го замечательного предела.

4. . Неопределенность раскрывается приведением функций к общему знаменателю, т.е. виду или .

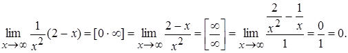
5. . Неопределенность приводится к виду или .

 

Ex. 4.

 

6. . Неопределенность раскрывается предварительным логарифмированием.

 

 

<== предыдущая лекция | следующая лекция ==>
Второй замечательный предел. Натуральные логарифмы | Непрерывность функции. Непрерывность сложной функции. Равномерная непрерывность
Поделиться с друзьями:


Дата добавления: 2014-01-06; Просмотров: 266; Нарушение авторских прав?; Мы поможем в написании вашей работы!


Нам важно ваше мнение! Был ли полезен опубликованный материал? Да | Нет



studopedia.su - Студопедия (2013 - 2026) год. Все материалы представленные на сайте исключительно с целью ознакомления читателями и не преследуют коммерческих целей или нарушение авторских прав! Последнее добавление




Генерация страницы за: 0.013 сек.