Студопедия

КАТЕГОРИИ:


Архитектура-(3434)Астрономия-(809)Биология-(7483)Биотехнологии-(1457)Военное дело-(14632)Высокие технологии-(1363)География-(913)Геология-(1438)Государство-(451)Демография-(1065)Дом-(47672)Журналистика и СМИ-(912)Изобретательство-(14524)Иностранные языки-(4268)Информатика-(17799)Искусство-(1338)История-(13644)Компьютеры-(11121)Косметика-(55)Кулинария-(373)Культура-(8427)Лингвистика-(374)Литература-(1642)Маркетинг-(23702)Математика-(16968)Машиностроение-(1700)Медицина-(12668)Менеджмент-(24684)Механика-(15423)Науковедение-(506)Образование-(11852)Охрана труда-(3308)Педагогика-(5571)Полиграфия-(1312)Политика-(7869)Право-(5454)Приборостроение-(1369)Программирование-(2801)Производство-(97182)Промышленность-(8706)Психология-(18388)Религия-(3217)Связь-(10668)Сельское хозяйство-(299)Социология-(6455)Спорт-(42831)Строительство-(4793)Торговля-(5050)Транспорт-(2929)Туризм-(1568)Физика-(3942)Философия-(17015)Финансы-(26596)Химия-(22929)Экология-(12095)Экономика-(9961)Электроника-(8441)Электротехника-(4623)Энергетика-(12629)Юриспруденция-(1492)Ядерная техника-(1748)

Расщепление энергетических уровней атомов в магнитном поле




Магнитный резонанс

Лекция 16.

Электронный парамагнитный резонанс (ЭПР). Идентификация и определение концентрации свободных радикалов методами ЭПР.

Ядерный магнитный резонанс (ЯМР). Принципы и диагностические возможности магнито-резонансной томографии (МРТ).

 

В этой главе, как и в предыдущей, рассматриваются явления, связанные с излучением и поглощением энергии атомами и молекулами

Магнитный резонанс — избирательное поглощение электромагнитных волн веществом, помещенным в магнитное поле.

 

В было показано, что на контур с током, помещенный в магнитное поле, действует момент силы. При устойчивом равновесии контура его магнитный момент совпадает с направле­нием вектора магнитной индукции. Такое положение занимает контур с током, предоставленный самому себе. Существенно иначе ориентируются в магнитном поле магнитные моменты частиц. Рассмотрим этот вопрос с позиции квантовой механики.

Ранее отмечалось, что проекция момента импульса электрона на некоторое направление принимает дискретные значения.

Чтобы обнаружить эти проекции, необходимо каким-то образом выделить направление Z. Один из наиболее распространенных способов — задание магнитного поля, в этом случае определяют проекцию орбитального момента импульса [см. (23.26)], проекцию спина (23.27), проекцию полного момента импульса электро­на [см. (23.30)] и проекцию момента импульса атома LAz [см. (23.37)] на направление вектора магнитной индукции .

Связь между моментом импульса и магнитным моментом (13.30) и (13.31) позволяет использовать перечисленные формулы для нахождения дискретных проекций соответствующего магнитного момента на направление вектора . Таким образом, в отличие от классических представлений, магнитные моменты частиц ориентируются относительно магнитного поля под некоторыми определенными углами.

Для атома, например, из (23.37) получаем следующие значения проекций магнитного момента pmz на направление вектора магнитной индукции:

(25.1)

где mБ = e h /(4p m) — магнетон Бора (см. § 13.1), m — масса электрона, mJ — магнитное квантовое число, g — множитель Ланде (g-фактор) (см. § 13.4), для заданного уровня энергии атома он зависит от квантовых чисел L, J, S. Знак «-» в (25.1) обусловлен отрицательным зарядом электрона.

Энергия атома в магнитном поле с учетом того, что в отсутствие поля энергия атома равна Е 0, определяется формулой

(25.2)

Так как магнитное квантовое число mJ [см. (23.37)] может принимать 2 J + 1 значений от + J до - J, то из (25.2) следует, что каждый энергетический уровень при помещении атома в магнитное поле расщепляется на 2 J +1 подуровней. Это схематически показано на
рис. 25.1 для J = 1/2. Разность энергий между соседними подуровнями равна

D Е = g mБ В. (25.3)

 

Расщепление энергетических уровней приводит и к расщеплению спектральных линий атомов, помещенных в магнитное поле. Это явление называют эффектом Зеемана.

Запишем выражение (25.2) для двух подуровней Е 1 и Е 2, образованных при наложении магнитного поля:

,

, (25.4)

где Е 01 и Е 02 — энергетические уровни атома в отсутствие магнитного поля. Используя (23.31) и (25.4), получаем выражение для излучаемых атомом частот:

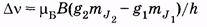
(25.5)

где

(25.6)

— частота спектральной линии в отсутствие магнитного поля;

(25.7)

— расщепление спектральной линии в магнитном поле. Из (25.7) видно, что Dn зависит от магнитного квантового числа, множителя Ланде и магнитной индукции поля. Если g l = g 2 = g, то

Согласно правилам отбора для магнитного квантового числа, имеем

(25.8)

Это соответствует трем возможным частотам:
n0 + g mБ B / h, n0, n0 - g mБ B / h, т. е. в магнитном поле спектральная линия расщепляется и превращается в триплет (рис. 25.2). Такое расщепление называется нормальным или простым эффектом Зеемана. Он наблюдается в сильных магнитных полях или при
g 1 = g 2.

В слабых магнитных полях при g 1 ¹ g 2 существует аномальный эффект Зеемана, и расщепление спектральных линий значительно более сложное.

 

 




Поделиться с друзьями:


Дата добавления: 2014-01-07; Просмотров: 1829; Нарушение авторских прав?; Мы поможем в написании вашей работы!


Нам важно ваше мнение! Был ли полезен опубликованный материал? Да | Нет



studopedia.su - Студопедия (2013 - 2026) год. Все материалы представленные на сайте исключительно с целью ознакомления читателями и не преследуют коммерческих целей или нарушение авторских прав! Последнее добавление




Генерация страницы за: 0.011 сек.