Студопедия

КАТЕГОРИИ:


Архитектура-(3434)Астрономия-(809)Биология-(7483)Биотехнологии-(1457)Военное дело-(14632)Высокие технологии-(1363)География-(913)Геология-(1438)Государство-(451)Демография-(1065)Дом-(47672)Журналистика и СМИ-(912)Изобретательство-(14524)Иностранные языки-(4268)Информатика-(17799)Искусство-(1338)История-(13644)Компьютеры-(11121)Косметика-(55)Кулинария-(373)Культура-(8427)Лингвистика-(374)Литература-(1642)Маркетинг-(23702)Математика-(16968)Машиностроение-(1700)Медицина-(12668)Менеджмент-(24684)Механика-(15423)Науковедение-(506)Образование-(11852)Охрана труда-(3308)Педагогика-(5571)Полиграфия-(1312)Политика-(7869)Право-(5454)Приборостроение-(1369)Программирование-(2801)Производство-(97182)Промышленность-(8706)Психология-(18388)Религия-(3217)Связь-(10668)Сельское хозяйство-(299)Социология-(6455)Спорт-(42831)Строительство-(4793)Торговля-(5050)Транспорт-(2929)Туризм-(1568)Физика-(3942)Философия-(17015)Финансы-(26596)Химия-(22929)Экология-(12095)Экономика-(9961)Электроника-(8441)Электротехника-(4623)Энергетика-(12629)Юриспруденция-(1492)Ядерная техника-(1748)

Сокращение поверхностных связей, энергия связывания и отношение поверхности к объему




Рассмотрим структуру наночастицы в приближении: сферическая частица радиуса R включает K атомных слоев, и каждый i -й слой диаметром di (i отсчитывается от поверхности к центру) и толщиной R/K состоит из Ni атомов.

Пусть коэффициент сокращения межатомного расстояния

 

сi = di / do.

 

Из-за искривления поверхности сi будет зависеть от КЧ и размера частиц и энергия связывания растет обратно пропорционально сi:

=

где m>0 – параметр для математического описания изменения энергии связывания с изменением длины связи (рис. 2).

Для сферической частицы объем i-ой атомной оболочки пропорционален площади поверхности i-ой сферы:

,

а полный объем сферы .

Отношение числа атомов или объема i-ой атомной оболочки и соответствующего параметра полной сферы

 

 

 

Рис. 2.

 

 

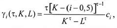
В общем случае отношение поверхности к объему для сплошной (L =0) или полой (L >0) наночастицы, сферической (τ=3), нитевидной (τ=2) или пластинчатой (τ=1) формы имеет вид:

где τ – размерность частицы, L – радиус полости внутри твердого тела.

 




Поделиться с друзьями:


Дата добавления: 2014-01-07; Просмотров: 726; Нарушение авторских прав?; Мы поможем в написании вашей работы!


Нам важно ваше мнение! Был ли полезен опубликованный материал? Да | Нет



studopedia.su - Студопедия (2013 - 2025) год. Все материалы представленные на сайте исключительно с целью ознакомления читателями и не преследуют коммерческих целей или нарушение авторских прав! Последнее добавление




Генерация страницы за: 0.009 сек.