Студопедия

КАТЕГОРИИ:


Архитектура-(3434)Астрономия-(809)Биология-(7483)Биотехнологии-(1457)Военное дело-(14632)Высокие технологии-(1363)География-(913)Геология-(1438)Государство-(451)Демография-(1065)Дом-(47672)Журналистика и СМИ-(912)Изобретательство-(14524)Иностранные языки-(4268)Информатика-(17799)Искусство-(1338)История-(13644)Компьютеры-(11121)Косметика-(55)Кулинария-(373)Культура-(8427)Лингвистика-(374)Литература-(1642)Маркетинг-(23702)Математика-(16968)Машиностроение-(1700)Медицина-(12668)Менеджмент-(24684)Механика-(15423)Науковедение-(506)Образование-(11852)Охрана труда-(3308)Педагогика-(5571)Полиграфия-(1312)Политика-(7869)Право-(5454)Приборостроение-(1369)Программирование-(2801)Производство-(97182)Промышленность-(8706)Психология-(18388)Религия-(3217)Связь-(10668)Сельское хозяйство-(299)Социология-(6455)Спорт-(42831)Строительство-(4793)Торговля-(5050)Транспорт-(2929)Туризм-(1568)Физика-(3942)Философия-(17015)Финансы-(26596)Химия-(22929)Экология-(12095)Экономика-(9961)Электроника-(8441)Электротехника-(4623)Энергетика-(12629)Юриспруденция-(1492)Ядерная техника-(1748)

Дезагрегация государственных расходов

Г


tr = уа°- уа* = - (Уь°- Уь*)- Если уа°- уа* положительно, то задача со­стоит в том, чтобы перевести ресурсы от В к А (и наоборот если уа°- уа* от­рицательно).

Политика максимизации W будет включать два этапа:

- сначала перераспределить доходы между группами;

- дать группам самостоятельно определить g и h в добровольных пе­
реговорах по Линдалю.

Например, для функции общественного благосостояния индивидуа­листского типа W = W[Ua(xa,g), Ub(xb,g)] максимизация W при всеобщем ограничении ресурсов (уа + уь = ха + хь + g) позволяет определять опти­мальные значения g*, ха*, хь*.

Максимизация Ua(xa,g) при уа + tr = ха + h*g и Ub(xb,g) — при уь - tr = Хь + (1 - h)*g позволяют получить кривые Линдаля ga(h,ya + tr) и gb(l -h,yb — tr). Для каждого значения tr получаем другую точку пересечения (другое решение по Линдалю). Таким образом, достаточно подобрать такое значение tr, которое бы соответствовало g*. Иными словами, то, что tr принимает разные значения, позволяет среди всех оптимумов по Парето, полученных путем добровольных переговоров, выбирать тот, который наи­более соответствует максимуму общественного благосостояния.

Теперь предположим, что существует две разновидности государст­венных расходов, gi и g2. Данному распределению доходов уа и уь соответ­ствует единственное равновесие по Линдалю, в котором заданы оптималь­ные значения gi и g2 и оптимальное распределение издержек - соответст­венно hi и h2. Как и в предыдущем случае, система перевода позволяет, изменяя распределение доходов, перемещаться вдоль границы обществен­ной эффективности (т.е., по области оптимумов по Парето) и таким обра­зом выбирать «оптимум оптимумов».

Предположим теперь, что, например, в целях упрощения управления, правительство решает осуществить всеобщее распределение издержек, со­ответствующее совокупности государственных расходов (gi + g2).

Это сводится к тому, чтобы ввести дополнительное уравнение: h] = h2 = h. Действительно, только в этом случае бюджетные ограничения могут выглядеть следующим образом:


Однако это дополнительное уравнение приводит к чрезмерно детер­минированной модели. Больше уже не существует возможности оптималь­ного согласия между группами А и В, в условиях, когда необходимо распределить бремя совокупных расходов, gi + g2. По крайней мере одна из rnvnn находится за пределами одной из кривых спроса (для g1, и/или для


групп находится за пределами одной из кривых спроса (для gi и/или для g2), а сообщество вынуждено нести чистый общественный убыток.

Полученный выше результат, по-видимому, должен быть доводом в пользу систематического определения налогов на дробном уровне и пря­мого закрепления порядка налогообложения, т.е. целевые налоги за каж­дым видом расходов. Это заключение противоречит правилу неотнесения ресурсов на счет расходов, т.е. основополагающему принципу бюджетного права, существующего во многих странах.

Принцип неотнесения оправдан по нескольким причинам:

- экономически: он позволяет сокращать различные издержки на ад­
министративное управление (издержки на информацию, на расчеты по
чрезмерно дифференцированным налогам, на взимание сложных налогов);

- политически: он позволяет государству не быть все время связан­
ным необходимостью следовать воле отдельных индивидов и благодаря
этому сохранять1 за собой значительное пространство для маневра в ис­
пользовании бюджетных доходов.

Тем не менее в последнее время можно наблюдать тенденцию к зна­чительному расширению практики выделения ресурсов. Отдельные авторы видят в этом признак определенной защитной реакции населения перед лицом возрастающего налогового бремени: оговорив использование до­полнительных налогов, правительство могло бы добиться того, чтобы на­логоплательщики принимали их более легко.

Децентрализация как инструмент для уменьшения издержек на информацию.

Правительство, которое не знает ни предпочтений индивидов (по крайней мере, их MRS), ни производственных возможностей предприятий (по крайней мере, их MRT) не может удовлетворительным образом решить задачи аллокации ресурсов, поставленные «провалами рынка». Эта недос­таточная информированность - один из важнейших технических мотивов для децентрализации принятия решений. Очевидно, что децентрализация может иметь и другие преимущества, в частности, снижать технические издержки на административное управление и контроль, необходимые для различных государственных вмешательств. Так или иначе, мы для просто­ты ограничимся воздействием децентрализации на информационные из­держки (из чего будет следовать, что либо издержки управления и контро­ля пренебрежимо малы, либо они не зависят от уровня децентрализации).

Неявно из этого следует предположение, что издержки на сбор ин­формации - возрастающая функция от «расстояния», лежащего между ис­точником (индивидом или предприятием) и органом, собирающим инфор­мацию.


В отдельных случаях местный орган только «децентрализован»: его единственная задача - собирать информацию и передавать ее в центр, ко­торый осуществляет ее обработку. Однако самые интересные случаи — те, когда источником информации становится нажим, манифестации или го­лосование на местных чиновников, обладающих автономным правом кон­тролировать один или несколько инструментов, для достижения опреде­ленных целей, свойственных децентрализованному учреждению.

Эта децентрализация власти тех, кто принимает решения, может ста­новиться причиной серьезных проблем и чревата выбором неоптимальных решений относительно общественных благ и структуры налогообложения.

Прежде всего, децентрализованные органы могут вычислить агреги­рованную выгоду от общественных благ лишь в том случае, если им в точ­ности известна перераспределительная политика центрального правитель­ства (и, следовательно, неявная функция общественного благосостояния, в ней содержащаяся). А правительства всегда неохотно делятся информаци­ей такого рода (если и обладают ею). То, что, например, будут обнародо­ваны данные о том, какой объем средств переливается в сельское хозяйст­во или в государственные предприятия, может вызвать негативную поли­тическую реакцию со стороны других групп. Более того, у правительства мало оснований давать информацию, которая грозит поколебать «бюджет­ные иллюзии» индивидов (явление, позволяющее правительствам сосредо­точивать расходы в пользу немногочисленных групп, финансируя их за счет изъятия средств, распределяемых на всех членов сообщества в целом - и таким образом, объем этих сборов получается незначительным для ка­ждого индивида в отдельности).

Существует также система взаимозависимостей - между решениями различных единиц, не зависимых от центра, между решениями этих самых единиц и государственного центра. В лучшем случае децентрализованные единицы игнорируют такие взаимозависимости (в результате не учитыва­ются внешние последствия их деятельности), а в худшем - пытаются, в яв­ном или неявном виде, пользоваться этим положением, создавая коалиции, сообразуясь с ситуацией. Как мы увидим дальше, характеристики целей и инструментов, закрепленных за децентрализованными органами, играют основную роль при выборе варианта децентрализации.


Эти отношения можно записать в более краткой форме:

Допустим, что О = {О1..., Оn} - это множество из п целей, а I = {1ь..., Im} - множество из m инструментов, которыми располагает правитель­ство. Экономические структуры представлены множеством п отношений, связывающих между собой инструменты и цели:


1 оворят, что инструмент i нейтрален относительно цели j.

Инструмент i называется избирательным (селективным) относитель­но цели j, если он нейтрален относительно всех целей, кроме j.

Наконец, инструмент называют специфическим для цели j, если он избирателен относительно j и все остальные инструменты нейтральны от­носительно нее.

Цель может быть децентрализована без необходимости для центра предоставлять децентрализованному органу дополнительную информа­цию, если существует специфический для этой цели инструмент.

Цель может быть децентрализована, если существует хотя бы один ин­струмент, избирательный относительно этой цели, но в этом случае центр должен -предоставить.децентрализованному органу информацию об учиты­ваемых значениях других инструментов, воздействующих на эту цель.

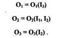
Пример: пусть О1 О2 и О3 - три цели, контролируемые тремя инст­рументами 1Ь 12 и 13.

Сокращенные формы таковы:

Ii нейтрален относительно Oi и Оз, следовательно, он избирателен по отношению к О2.12 нейтрален к Oi. I3 - специфический инструмент для Oj.

Цель Oi может быть децентрализована без необходимости для цен­тра предоставлять децентрализованному органу информацию (достаточно, чтобы последний контролировал инструмент 13). Цель О2, может быть де­централизована (если децентрализованному органу будет предоставлен не только контроль над инструментом Ii, но и информация о значении, зафик­сированном для 12). Цель Оз децентрализации не подлежит (так как кон­троль над инструментом 12 со стороны децентрализованного органа будет оказывать воздействие и на другую цель, О2).

Если какая-либо цель не зависит ни от одного из избирательных инструментов, то ее децентрализация повлечет внешние издержки от взаи­мозависимости, так как децентрализованный орган не будет учитывать воздействия на другие цели инструмента или инструментов, которые он контролирует. Это внешнее воздействие станет источником суб­оптимальности. Вопрос о децентрализации по-прежнему можно рассмат­ривать, но решение будет зависеть от того, что будет считаться более важ­ным: снижение издержек на информацию (и управление) или издержек от взаимозависимости. На рис. 20 проиллюстрированы условия для этого за-


ключения, при этом предполагается, что уровень децентрализации (т.е. число децентрализованных единиц) может изменяться. Два заключительных примечания к вопросу:

а) Децентрализация и/или степень федерализма государств зависят
не только от заключения относительно издержек на информацию или из­
держек на управление и контроль. Определяющее значение имеют также
экстра-экономические факторы, как-то: история, география, культура,
формы устройства политических институтов.

б) Проблема децентрализации касается в первую очередь политики
аллокации ресурсов, а не политики стабилизации или перераспределения
доходов, для которых, как правило, признается необходимость централи­
зованного выбора политики:

Рис. 20. Издержки на информацию и внешние издержки от взаимозависимости

- что касается стабилизации, то необходимость координации из цен­
тра диктуется взаимозависимостями, по определению очень серьезными,
между регионами одной страны (аналогичная проблема встает для стран,
которые идут по пути интеграции в рамках СНГ. Взаимозависимости меж­
ду странами членами содружества значительно возрастают, и все настоя­
тельнее требуется координация национальных политик в отношении скла­
дывающейся экономической конъюнктуры);

- в целях соблюдения справедливости политика перераспределения
должна осуществляться в основном централизованно. В противном случае


придется допустить существование нескольких различных функций обще­ственного благосостояния внутри одной страны. Так или иначе, политика децентрализованного перераспределения малооправдана ввиду миграции, которая может из-за этого возникать: «богатые» будут перемещаться в зо­ны, где перераспределение не такое сильное, а «бедные» - туда, где оно более значительно. Некоторые местные сообщества несмотря ни на что склонны были расширять свою деятельность по перераспределению, ссы­лаясь - и небезосновательно - на лучшее знание того, где оно необходимо. В действительности все зависит от масштабов предусмотренного коррек­тирующего перераспределения, от того, насколько гармонично согласуется политика отдельных децентрализованных единиц и от пространственной подвижности экономических агентов.


<== предыдущая лекция | следующая лекция ==>
Пределы государственных расходов | Лекция 10. Выявление предпочтений инвидидов и общественный выбор
Поделиться с друзьями:


Дата добавления: 2014-01-07; Просмотров: 324; Нарушение авторских прав?; Мы поможем в написании вашей работы!


Нам важно ваше мнение! Был ли полезен опубликованный материал? Да | Нет



studopedia.su - Студопедия (2013 - 2026) год. Все материалы представленные на сайте исключительно с целью ознакомления читателями и не преследуют коммерческих целей или нарушение авторских прав! Последнее добавление




Генерация страницы за: 0.015 сек.