Студопедия

КАТЕГОРИИ:


Архитектура-(3434)Астрономия-(809)Биология-(7483)Биотехнологии-(1457)Военное дело-(14632)Высокие технологии-(1363)География-(913)Геология-(1438)Государство-(451)Демография-(1065)Дом-(47672)Журналистика и СМИ-(912)Изобретательство-(14524)Иностранные языки-(4268)Информатика-(17799)Искусство-(1338)История-(13644)Компьютеры-(11121)Косметика-(55)Кулинария-(373)Культура-(8427)Лингвистика-(374)Литература-(1642)Маркетинг-(23702)Математика-(16968)Машиностроение-(1700)Медицина-(12668)Менеджмент-(24684)Механика-(15423)Науковедение-(506)Образование-(11852)Охрана труда-(3308)Педагогика-(5571)Полиграфия-(1312)Политика-(7869)Право-(5454)Приборостроение-(1369)Программирование-(2801)Производство-(97182)Промышленность-(8706)Психология-(18388)Религия-(3217)Связь-(10668)Сельское хозяйство-(299)Социология-(6455)Спорт-(42831)Строительство-(4793)Торговля-(5050)Транспорт-(2929)Туризм-(1568)Физика-(3942)Философия-(17015)Финансы-(26596)Химия-(22929)Экология-(12095)Экономика-(9961)Электроника-(8441)Электротехника-(4623)Энергетика-(12629)Юриспруденция-(1492)Ядерная техника-(1748)

Лекция 14. Фрезерование

Фрезерование является распространенным видом механической обработки. Фрезерованием в большинстве случаев обрабатываются плоские или фасонные линейчатые поверхности. Фрезерование ведется многолезвийными инструмен­тами – фрезами. Фреза представляет собой тело вращения, у которого режущие зубья расположены на цилиндрической или на торцовой поверхности. В зави­симости от этого фрезы соответственно называются цилиндрическими или тор­цовыми, а само выполняемые ими фрезерование – цилиндрическим или торцо­вым. Главное движение придается фрезе, движение подачи обычно придается обрабатываемой детали, но может придаваться и инструменту – фрезе. Чаще всего оно является поступательным, но может быть вращательным или слож­ным.

Процесс фрезерования отличается от других процессов резания тем, что ка­ждый зуб фрезы за один ее оборот находится в работе относительно малый промежуток времени. Большую часть оборота зуб фрезы проходит, не произво­дя резания. Это благоприятно сказывается на стойкости фрез. Другой отличи­тельной особенностью процесса фрезерования является то, что каждый зуб фре­зы срезает стружку переменной толщины.

Фрезерование может производиться двумя способами: против подачи и по подаче (рис.15.1.). Первое фрезерование называется встречным, а второе – попутным. Каждый из этих способов имеет свои преимущества и недостатки.

Встречное фрезерование является основным. Попутное фрезерование целе­сообразно вести лишь при обработке заготовок без корки и при обработке мате­риалов, склонных к сильному обработочному упрочнению, так как при фрезеро­вании против подачи зуб фрезы, врезаясь в материал, довольно значительный путь проходит по сильно наклепанному слою. Износ фрез в этом случае проте­кает излишне интенсивно.

 

 

Рис.14.1. Виды фрезерования: а) встречное (против подачи), б) попутное (по подаче), в) торцовой фре­зой, г) концевой фрезой.

При работе торцовыми или концевыми фрезами различают симметричное и несимметричное резание. При симметричном резании ось фрезы совпадает с плоскостью симметрии обрабатываемой поверхности, а при несимметричном – не совпадает.

Основными элементами режима резания при фрезеровании являются глуби­на резания, подача, скорость резания и ширина фрезерования.

Глубиной резания t является толщина слоя металла, срезаемого за один про­ход. При фрезеровании глубина резания соответствует расстоянию между обрабатываемой и обработанной поверхностями и измеряется при цилиндрическом фрезеровании в направлении, перпендику­лярном оси вращения фрезы, при торцовом – в параллельном.

Под шириной фрезерования В следует понимать ширину обрабатываемой поверхности, измеренную в направлении, параллельном оси вращения цилинд­рической или концевой фрезы, а при фрезеровании торцовой фрезой – в направлении перпен­дикулярном оси фрезы.

Скоростью резания v является окружная скорость режущих лезвий фрезы

где: D – диаметр фрезы, мм; n – частота вращения фрезы, об/мин.

Подачей называется перемещение обрабатываемой заготовки относительно фрезы. При фрезеровании различают три вида подач:

• подача на зуб (sz, мм/зуб) - величина перемещения заготовки за время поворота фрезы на один зуб;

• подача на оборот фрезы (s0, мм/об) - величина перемещения заго­товки за время одного оборота фрезы;

• подача в минуту (или минутная подача, £м, мм/мин) - величина пе­ремещения заготовки в минуту

• Эти подачи связаны между собой зависимостью:

 

где: z – число зубьев фрезы, n – частота вращения, об/мин.

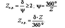
Плавность работы фрезы зависит от глубины резания, диаметра фрезы и числа зубьев. Она определяется величиной угла контакта фрезы с обрабатывае­мой заготовкой. Углом контакта δ называется центральный угол, соответст­вующий длине дуги соприкосновения фрезы с обрабатываемой заготовкой – деталью (рис.15.2.).

 

Рис. 14.2. Схема расчета угла контакта фрезы δ и максимальной толщины стружки amax

 

При расчете режима резания глубина резания t назначается максимально возможной по условиям жесткости технологической системы, ширина фрезеро­вания В определяется размерами обрабатываемой поверхности. Подача на зуб Sz выбирается по таблицам справочников в зависимости от вида и размеров при­меняемого инструмента, мощности станка и свойств обрабатываемого материа­ла. Скорость резания V рассчитывается с учетом величины выбранных элемен­тов режима резания по формуле:

где: С – константа, зависящая от свойств обрабатываемого материла; D - диаметр фрезы, мм;

Т – стойкость фрезы, которая назначается в пределах от 60 до 400 минут в зависимости от вида и размера фрез, мин;

z – число зубьев фрезы;

Sz – подача на зуб, мм/зуб.

Для обеспечения плавности работы фрезы число одновременно работающих зубьев должно быть не менее двух.

Толщина среза при фрезеровании переменная, ее величина зависит от пода­чи на зуб и угла контакта фрезы:

После расчета режима резания определяется главная составляющая силы ре­зания PZ, крутящий момент Мкр и потребляемая на резание мощность N:

 

Рис.14.3. Схема расчета основного технологического времени

<== предыдущая лекция | следующая лекция ==>
Лекция 22. Особенности резания титановых сплавов | При фрезеровании
Поделиться с друзьями:


Дата добавления: 2014-01-07; Просмотров: 2691; Нарушение авторских прав?; Мы поможем в написании вашей работы!


Нам важно ваше мнение! Был ли полезен опубликованный материал? Да | Нет



studopedia.su - Студопедия (2013 - 2025) год. Все материалы представленные на сайте исключительно с целью ознакомления читателями и не преследуют коммерческих целей или нарушение авторских прав! Последнее добавление




Генерация страницы за: 0.011 сек.