Студопедия

КАТЕГОРИИ:


Архитектура-(3434)Астрономия-(809)Биология-(7483)Биотехнологии-(1457)Военное дело-(14632)Высокие технологии-(1363)География-(913)Геология-(1438)Государство-(451)Демография-(1065)Дом-(47672)Журналистика и СМИ-(912)Изобретательство-(14524)Иностранные языки-(4268)Информатика-(17799)Искусство-(1338)История-(13644)Компьютеры-(11121)Косметика-(55)Кулинария-(373)Культура-(8427)Лингвистика-(374)Литература-(1642)Маркетинг-(23702)Математика-(16968)Машиностроение-(1700)Медицина-(12668)Менеджмент-(24684)Механика-(15423)Науковедение-(506)Образование-(11852)Охрана труда-(3308)Педагогика-(5571)Полиграфия-(1312)Политика-(7869)Право-(5454)Приборостроение-(1369)Программирование-(2801)Производство-(97182)Промышленность-(8706)Психология-(18388)Религия-(3217)Связь-(10668)Сельское хозяйство-(299)Социология-(6455)Спорт-(42831)Строительство-(4793)Торговля-(5050)Транспорт-(2929)Туризм-(1568)Физика-(3942)Философия-(17015)Финансы-(26596)Химия-(22929)Экология-(12095)Экономика-(9961)Электроника-(8441)Электротехника-(4623)Энергетика-(12629)Юриспруденция-(1492)Ядерная техника-(1748)

МОДУЛЬ 2. Лекция № 3




Реакции диспропорционирования

(ОВ двойственности)

 

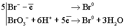
  5NaBr+3H2SO4+NaBrO3 3Br2 +3Na2SO4+3H2O
  Br-+2H++BrO3- Br2 + H2O
     
  BrO3-+5Br-6H+ Br0+5Br0+3H2O

 

В данной реакции Br- окисляется;

BrO3- - восстанавливается.

 

Тема: ОСНОВЫ АНАЛИТИЧЕСКОЙ ХИМИИ.

План

1. Общие аналитические свойства элементов. Цель и задачи

аналитической химии.

2. Понятие о химических и физико-химических методах анализа.

3. Классификация методов количественного анализа.

4. Качественный анализ

4.1. Методы качественного анализа

4.2. Кислотно-основная классификация катионов

4.3. Кислотно-основная классификация анионов

5. Количественный анализ.

5.1 Гравиметрический метод

5.1.1. Общая характеристика метода.

5.1.2. Требования к осадкам.

5.1.3. Требования к весовой форме.

5.1.4. Осаждающие реагенты

5.1.5. Расчетные формулы в гравиметрии.

5.1.6. Основные положения гравиметрии.

5.2 Титриметрический метод

5.2.1.Общая характеристика метода.

5.2.2. Требования к реакциям в титриметрическом методе.

5.2.3. Определение точки эквивалентности.

5.2.4. Классификация методов титриметрического анализа.

5.2.5. Способы титрования.

5.2.6. Расчеты в титриметрическом анализе.

5.2.7. Основные положения титриметрического метода.

 




Поделиться с друзьями:


Дата добавления: 2014-01-07; Просмотров: 585; Нарушение авторских прав?; Мы поможем в написании вашей работы!


Нам важно ваше мнение! Был ли полезен опубликованный материал? Да | Нет



studopedia.su - Студопедия (2013 - 2026) год. Все материалы представленные на сайте исключительно с целью ознакомления читателями и не преследуют коммерческих целей или нарушение авторских прав! Последнее добавление




Генерация страницы за: 0.01 сек.