Студопедия

КАТЕГОРИИ:


Архитектура-(3434)Астрономия-(809)Биология-(7483)Биотехнологии-(1457)Военное дело-(14632)Высокие технологии-(1363)География-(913)Геология-(1438)Государство-(451)Демография-(1065)Дом-(47672)Журналистика и СМИ-(912)Изобретательство-(14524)Иностранные языки-(4268)Информатика-(17799)Искусство-(1338)История-(13644)Компьютеры-(11121)Косметика-(55)Кулинария-(373)Культура-(8427)Лингвистика-(374)Литература-(1642)Маркетинг-(23702)Математика-(16968)Машиностроение-(1700)Медицина-(12668)Менеджмент-(24684)Механика-(15423)Науковедение-(506)Образование-(11852)Охрана труда-(3308)Педагогика-(5571)Полиграфия-(1312)Политика-(7869)Право-(5454)Приборостроение-(1369)Программирование-(2801)Производство-(97182)Промышленность-(8706)Психология-(18388)Религия-(3217)Связь-(10668)Сельское хозяйство-(299)Социология-(6455)Спорт-(42831)Строительство-(4793)Торговля-(5050)Транспорт-(2929)Туризм-(1568)Физика-(3942)Философия-(17015)Финансы-(26596)Химия-(22929)Экология-(12095)Экономика-(9961)Электроника-(8441)Электротехника-(4623)Энергетика-(12629)Юриспруденция-(1492)Ядерная техника-(1748)

Спектральне уявлення періодичних та неперіодичних сигналів




Спектри періодичних послідовностей.

Спектральне уявлення періодичних та неперіодичних сигналів.

Тема: Спектральне уявлення періодичних сигналів.

Суспільна роль місцевих бюджетів

В державних фінансах:

- складова бюджетної системи;

- інструмент реалізації загальнодержавних програм;

- джерело фінансування державних видатків;

- інструмент фінансового вирівнювання

В місцевих фінансах:

- фінансова база місцевого самоврядування;

- фінансові плани територіальних формувань;

- джерело утримання і розвитку місцевого господарства;

- джерело фінансування локальних послуг

в економічній системі держави

Впливають:

- на соціально-економічний розвиток;

- фінансову безпеку;

- фінансову стабільність;

- розвиток демократії;

- добробут населення

Використовуються як інструмент:

- перерозподілу ВВП;

- державного регулювання на мікрорівні;

- регіональної політики;

- фінансової політики;

- економічної політики

Зміст

Знайдемо амплітудний спектр прямокутного імпульсу описаного за допомогою функцій включення l(t): Для знаходження спектру використовується пряме перетворення Фур'є, яке для випадку, коли сигнал має вигляд парної функції, можна записати наступним чином:

Застосувавши для перетворення виразу для S(j2?tf) формулу Ейлера: отримаємо вираз для комплексної спектральної густини

у вигляді функції типу (sin x)/x.

Комплексна спектральна густина зображується на т.зв. спектральних діаграмах у вигляді амплітудного S(ω) та фазового ψ(ω) спектрів. Для прямокутного відеоімпульсу, парного відносно t = 0 S(ω) і ψ(ω) дорівнюють відповідно:

Внаслідок парності функції U(t) функція S(jω) виходить дійсною, тому фазовий спектр дорівнює нулю.

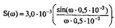
Приймемо, що U0=3 В; τі = 1 мс. Тобто, включення сигналу відбувається в момент часу t = -τі/2 = -0,5 мс, а його виключення, - в момент часу t = τі/2 = 0,5 мс.

 

 

Амплітудний спектр

Підставивши числові значення величин, отри­муємо для амплітудного спектру вираз:

Ширина спектру сигналу Fs визначається як Fs = fmax-fmin. для прямокутного імпульсу ширина спектру пов'язана з розміщенням на осі частот т.зв. нулів обвідної - значень частоти, при яких амплітуди складових спектру завжди дорівнюють нулю. Часто за верхню межу спектру сигналу приймають частоту першого нуля спектру, бо там буває зосереджено основну енергію сигналу (95%). Нулі обвідної можливо знайти за умови, що функція (sin x)/x перетинає вісь ω при ωτі/2 = ±nπ, або ω = ±2nπ/τі. Для трьох пелюсток спектру в даній задачі нулями обвідної будуть частоти:

Як бачимо, розміщення нулів обвідної залежить тільки від тривалості імпульсу τі.




Поделиться с друзьями:


Дата добавления: 2014-01-07; Просмотров: 431; Нарушение авторских прав?; Мы поможем в написании вашей работы!


Нам важно ваше мнение! Был ли полезен опубликованный материал? Да | Нет



studopedia.su - Студопедия (2013 - 2025) год. Все материалы представленные на сайте исключительно с целью ознакомления читателями и не преследуют коммерческих целей или нарушение авторских прав! Последнее добавление




Генерация страницы за: 0.011 сек.