Студопедия

КАТЕГОРИИ:


Архитектура-(3434)Астрономия-(809)Биология-(7483)Биотехнологии-(1457)Военное дело-(14632)Высокие технологии-(1363)География-(913)Геология-(1438)Государство-(451)Демография-(1065)Дом-(47672)Журналистика и СМИ-(912)Изобретательство-(14524)Иностранные языки-(4268)Информатика-(17799)Искусство-(1338)История-(13644)Компьютеры-(11121)Косметика-(55)Кулинария-(373)Культура-(8427)Лингвистика-(374)Литература-(1642)Маркетинг-(23702)Математика-(16968)Машиностроение-(1700)Медицина-(12668)Менеджмент-(24684)Механика-(15423)Науковедение-(506)Образование-(11852)Охрана труда-(3308)Педагогика-(5571)Полиграфия-(1312)Политика-(7869)Право-(5454)Приборостроение-(1369)Программирование-(2801)Производство-(97182)Промышленность-(8706)Психология-(18388)Религия-(3217)Связь-(10668)Сельское хозяйство-(299)Социология-(6455)Спорт-(42831)Строительство-(4793)Торговля-(5050)Транспорт-(2929)Туризм-(1568)Физика-(3942)Философия-(17015)Финансы-(26596)Химия-(22929)Экология-(12095)Экономика-(9961)Электроника-(8441)Электротехника-(4623)Энергетика-(12629)Юриспруденция-(1492)Ядерная техника-(1748)

Третий (уточненный) закон Кеплера




 

При круговом движении ускорение

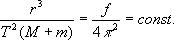
Если рассматривать относительное движение по кругу небесного тела с массой m вокруг центрального тела с массой M, то согласно уравнению (2.17) относительное ускорение

 

Так как w и wоm — одно и то же ускорение, то, приравняв их правые части, получим

(2.23)

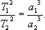
Если рассматривать движение небесного тела по эллипсу, то получится соотношение, аналогичное (2.23), только в нем радиус круга r заменится на большую полуось , а T будет означать период обращения тела по эллипсу. Напишем это соотношение для двух тел, массы которых m1 и m2, большие полуоси их эллиптических орбит а1 и a2, а периоды их обращений вокруг их центральных тел с массами М1 и М2 обозначим через T1 и T2. Тогда

откуда

(2.24)

Это точное выражение третьего закона Кеплера. Если рассматривать движение двух планет вокруг Солнца, т.e. вокруг одного и того же тела (М1 = М2), и пренебречь массами планет (m1 = m2 = 0) в сравнении с массой Солнца, то получим формулу (2.7), выведенную Кеплером из наблюдений:

Так как массы планет в сравнении с массой Солнца незначительны, то формула Кеплера достаточно хорошо согласуется с наблюдениями.

 

 




Поделиться с друзьями:


Дата добавления: 2014-01-07; Просмотров: 1196; Нарушение авторских прав?; Мы поможем в написании вашей работы!


Нам важно ваше мнение! Был ли полезен опубликованный материал? Да | Нет



studopedia.su - Студопедия (2013 - 2026) год. Все материалы представленные на сайте исключительно с целью ознакомления читателями и не преследуют коммерческих целей или нарушение авторских прав! Последнее добавление




Генерация страницы за: 0.009 сек.