Студопедия

КАТЕГОРИИ:


Архитектура-(3434)Астрономия-(809)Биология-(7483)Биотехнологии-(1457)Военное дело-(14632)Высокие технологии-(1363)География-(913)Геология-(1438)Государство-(451)Демография-(1065)Дом-(47672)Журналистика и СМИ-(912)Изобретательство-(14524)Иностранные языки-(4268)Информатика-(17799)Искусство-(1338)История-(13644)Компьютеры-(11121)Косметика-(55)Кулинария-(373)Культура-(8427)Лингвистика-(374)Литература-(1642)Маркетинг-(23702)Математика-(16968)Машиностроение-(1700)Медицина-(12668)Менеджмент-(24684)Механика-(15423)Науковедение-(506)Образование-(11852)Охрана труда-(3308)Педагогика-(5571)Полиграфия-(1312)Политика-(7869)Право-(5454)Приборостроение-(1369)Программирование-(2801)Производство-(97182)Промышленность-(8706)Психология-(18388)Религия-(3217)Связь-(10668)Сельское хозяйство-(299)Социология-(6455)Спорт-(42831)Строительство-(4793)Торговля-(5050)Транспорт-(2929)Туризм-(1568)Физика-(3942)Философия-(17015)Финансы-(26596)Химия-(22929)Экология-(12095)Экономика-(9961)Электроника-(8441)Электротехника-(4623)Энергетика-(12629)Юриспруденция-(1492)Ядерная техника-(1748)

Поступательное движение




Основные кинематические характеристики движения:

для точки – ее скорость и ускорение;

для твердого тела - скорость и ускорение поступательного движения и угловая скорость и угловое ускорение вращательного движения.

Опр. 1.1.9. Скорость – величина, показывающая быстроту и направление движения тела; бывает:

· Вектором средней скорости в промежутке времени от до называется отношение приращение радиус – вектора точки за этот промежуток времени к его продолжительности : (1.1.2)

Средняя скорость – скалярная величина, равная отношению длины пути, пройденного за промежуток времени от до , к длительности этого промежутка времени : . (1.1.2’)

Характеризует движение в течение всего промежутка времени .

· Скорость (мгновенная скорость, скорость в данный момент времени) - векторная величина, равная первой производной по времени от радиус-вектора движущейся точки: . (1.1.3)

Вектор скорости направлен по касательной к траектории в сторону движения точки. Из формулы (1.1.1) следует, что и модуль скорости численно равен первой производной от длины пути по времени . (1.1.3’)

При равномерном движении (численное значение скорости не зависит от времени, ): и .

Размерность скорости: .

Замечание 1.1.1. Если известно значение вектора скорости , то по формуле (1.1.3) элементарное перемещениеточки найдем как . Интегрируя правую и левую части равенства, получим: . (1.1.4)

По формуле (1.1.3’) аналогично находим . (1.1.5)

Замечание 1.1.2. В общем случае скорость является функцией времени и формулы (1.1.4) и (1.1.5.) следует записывать таким образом: и . Поэтому при нахождении пути и перемещения необходимо знать характер временной зависимости скорости.

Опр. 1.1.10. Ускорение:

· Средним ускорением в промежутке времени от до называется вектор , равный отношению приращения скорости точки за этот промежуток времени к его продолжительности : (1.1.6)

· Ускорение (мгновенное ускорение) наз. векторная величина, характеризующая быстроту изменения скорости движущейся точки и равная первой производной по времени от скорости или (1.1.7)

Вектор ускорения лежит в соприкасающейся плоскости, проходящей через главную нормаль и касательную к траектории, и направлен в сторону вогнутости траектории. Частные случаи:

при прямолинейном движении по прямой вдоль траектории движения;

при равнозамедленном движении противоположно направлению скорости,

при равноускоренном движении совпадает с направлением скорости;

при свободном падении вертикально вниз и неизменен по модулю .

Замечание 1.1.3. Если известно значение вектора ускорения , то по формуле (1.1.7) получим: . (1.1.8)

С учетом замечания 2: . (1.1.8’)

Размерность ускорения: .

Рис. 1.1.3
Т.к. при движении по некоторой траектории в соприкасающейся плоскости (где лежит вектор ускорения) есть два избранных направления - касательной к траектории (орт ) и главной нормали (орт ), то для нахождения мгновенного ускорения его удобно разложить на две взаимно перпендикулярные составляющие по базису : , где танген­циальное (касательное) ускорение, и нормальное (центростремительное) ускоре­ние.

Т.к. скорость точки (по 1.1.3’) , то .

Чтобы проанализировать полученное соотношение, разобьем траекторию движения точки на столь малые участки, что каждый из них можно считать участком окружности радиуса с центром в т. О.

Опр. 1.1.11. Величину называют радиусом кривизны траектории – радиус окружности, совпадающей с траекторией в окрестности данной точки.

Приращение орта касательной к траектории , но , а . В результате получаем . Тогда выражение для ускорения примет вид .

Тангенциальное ускорение характеризует быстроту изменения скорости по величине, направлено вдоль касательной к траектории и выражается формулой , где (1.1.9)

Нормальное ускорение характеризует быстроту изменения скорости по направлению, направлено вдоль главной нормали (к центру кривизны траектории) и выражается формулой , где , (1.1.10)

Полное ускорение (модуль ускорения) , (1.1.11)

При втором способе описания движения (когда даются уравнения, выражающие зависимость координат точки от времени:;;), уравнение траектории находится путем исключения времени из данных уравнений. Проекции скорости на оси координати ускорения (1.1.12)

Модули векторов скорости и ускорения выражаются через проекции: ; . (1.1.13)

Вектора скорости и ускорения можно разложить по базису : ; . (1.1.14)

По характеру изменения скорости различают:

1. Если модуль мгновенной скорости с течением времени не изменяется , то движение материальной точки называется равномерным. Т.о. точка проходит за равные промежутки времени пути равной длины и по формуле (1.1.5.) . Постоянная интегрирования определяется из условия при , откуда получаем - уравнение равномерного движения.

2. Если модуль мгновенной скорости с течением времени изменяется , то движение материальной точки называется неравномерным (переменным). Движение, при котором называется равнопеременным, а именно, если ускорение , то движение равноускоренное и направления векторов и совпадают, если , то движение равнозамедленное и направления векторови противоположны.

Для нахождения уравнения движения в данном случае, прежде чем воспользоваться формулой (1.1.5) мы, учитывая замечание 1.1.2, должны установить характер зависимости . Т.к. ускорение при равнопеременном движении от времени не зависит, то по формуле (1.1.8) . Постоянная интегрирования определяется из условия при , откуда получаем . Теперь по формуле (1.1.5) уравнение равнопеременного движения.

Пусть расстояние движущейся точки от начала координат в момент времени ; скорость точки в момент времени .

  Равномерное движение Неравномерное движение ,  
Прямолинейное движение ускорение  
уравнение движения  
Криволинейное движение  
ускорение  

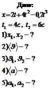
Пример 1.1.1. Уравнение движения точки по прямой имеет вид . Найти: 1)положе­ния точки в моменты времени и ; 2)среднюю скорость за время между этими моментами; 3)мгновенные скорости в указанные моменты времени; 4) среднее ускорение за указанный промежуток времени; 5) мгновенные ускорения в указанные моменты времени.

Решение:

1) Положение точки, движущейся по прямой, можно найти, подставив в уравнение движения заданное значение времени:

м,м.

2) Средняя скорость: .

3) Мгновенная скорость:. Подставим значения времени и получим: , .

4) Среднее ускорение: .

5) Мгновенное ускорение: . Подставим значения времени: , .

Пример 1.1.2. Машина идет по закругленному шоссе с ускорением . Уравнение движения автомобиля . Найти скорость машины, ее тангенциальное и нормальное ускорение в момент времени , а также радиус кривизны шоссе.

Решение:

По определению мгновенной скорости .

По определению - тангенциальное ускорение постоянно по величине, т.е. движение машины равнозамедленное. Полное ускорение . Т.к. -радиус кривизны траектории в момент времени . Направление полного ускорения можно определить как угол, образуемый полным ускорением с направлением нормального ускорения .




Поделиться с друзьями:


Дата добавления: 2014-01-11; Просмотров: 770; Нарушение авторских прав?; Мы поможем в написании вашей работы!


Нам важно ваше мнение! Был ли полезен опубликованный материал? Да | Нет



studopedia.su - Студопедия (2013 - 2025) год. Все материалы представленные на сайте исключительно с целью ознакомления читателями и не преследуют коммерческих целей или нарушение авторских прав! Последнее добавление




Генерация страницы за: 0.012 сек.