Студопедия

КАТЕГОРИИ:


Архитектура-(3434)Астрономия-(809)Биология-(7483)Биотехнологии-(1457)Военное дело-(14632)Высокие технологии-(1363)География-(913)Геология-(1438)Государство-(451)Демография-(1065)Дом-(47672)Журналистика и СМИ-(912)Изобретательство-(14524)Иностранные языки-(4268)Информатика-(17799)Искусство-(1338)История-(13644)Компьютеры-(11121)Косметика-(55)Кулинария-(373)Культура-(8427)Лингвистика-(374)Литература-(1642)Маркетинг-(23702)Математика-(16968)Машиностроение-(1700)Медицина-(12668)Менеджмент-(24684)Механика-(15423)Науковедение-(506)Образование-(11852)Охрана труда-(3308)Педагогика-(5571)Полиграфия-(1312)Политика-(7869)Право-(5454)Приборостроение-(1369)Программирование-(2801)Производство-(97182)Промышленность-(8706)Психология-(18388)Религия-(3217)Связь-(10668)Сельское хозяйство-(299)Социология-(6455)Спорт-(42831)Строительство-(4793)Торговля-(5050)Транспорт-(2929)Туризм-(1568)Физика-(3942)Философия-(17015)Финансы-(26596)Химия-(22929)Экология-(12095)Экономика-(9961)Электроника-(8441)Электротехника-(4623)Энергетика-(12629)Юриспруденция-(1492)Ядерная техника-(1748)

Дисперсия, её виды, свойства




 

В зависимости от образующих вариаций факторов различают виды дисперсии:

1) Общая дисперсия образуется под влиянием совокупного действия всех факторов на изучаемое явление. Рассчитывается по формуле:

 

. (2.1)

 

2) Групповая дисперсия рассчитывается, если совокупность разбита по какому-либо определенному признаку факторов. Определяется по формуле:

 

, (2.2)

 

где - значение признака у i-той единицы j-той группы;

- групповая средняя величина признака в j-той группе;

- вес в j-той группе;

- численность единиц в j-той группе.

3) Межгрупповая дисперсия отражает вариацию изучаемого признака, которая возникает под влиянием одного признака-фактора положенного в основу группировки. Характеризует колеблимость групповых средних около общей средней. Находится по формуле:

 

. (2.3)

 

4) Внутригрупповая дисперсия характеризует в каждой группе вариацию, обусловленную влиянием всех прочих фактов кроме группировочного. Обобщающей характеристикой внутригрупповой дисперсии является средняя внутригрупповая дисперсия. Рассчитывается средняя внутригрупповая дисперсия по формуле:

 

. (2.4)

 

Существует закон, связывающий общую, межгрупповую, среднюю внутригрупповую дисперсии. Правило сложения дисперсии:

 

. (2.5)

 

Зная общую дисперсию и дисперсию групповых средних можно судить о силе влияния группировочного признака в образовавшейся вариации.

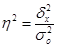
Рассчитывается коэффициент детерминации (), показывающий какая доля вариации, обусловлена признаком, положенным в основу группировки. Определяется он по формуле:

 

. (2.6)

 

Корень квадратный из коэффициента детерминации представляет собой эмпирическое корреляционное отношение. Рассчитывается по формуле:

 

. (2.7)

 

изменяется от 0 до 1 (). Если =0, то группировочный признак влияет на результативный. Если =1, то группировочный признак зависит от результативного.

Свойства дисперсии:

1. Дисперсия постоянной величины равна нулю.

2. Если из всех значений вариант отнять какое-либо постоянное число , то средний квадрат отклонений не изменится:

 

. (2.8)

3.Если все значения вариант разделить на какое-либо постоянное число , то средний квадрат отклонений уменьшится враз:

 

. (2.9)

 

4. Постоянный множитель выноситься за знак дисперсии возведенный в квадрат:

 

. (2.10)

 

5. Если исчислить дисперсию от какой-либо величины , которая в той или иной степени отличается от средней арифметической, то она будет всегда больше дисперсии исчисленной от средней арифметической. При этом она будет больше на средний квадрат отклонений разности между средней и условно взятой величиной:

 

. (2.11)

 

Использование свойств дисперсии позволяет упрощать ее расчет в случаях, когда вариационный ряд составляет арифметическую прогрессию или имеет равные интервалы.

В статистике наряду с показателями вариации количественного признака определяются показатели вариации альтернативного признака. Наличие признака обозначается через 1, отсутствие – 0. Доля вариантов обладающих интересующих признаков обозначаются буквой , а доля вариантов, не обладающих интересующих признаков, обозначаются буквой . Таким образом, дисперсия составляет .

Средняя величина находится по формуле: .

Дисперсия альтернативного признака:.

Предельное значение .

 

Пример. Имеются данные о реализации швейных изделий в магазине.

 

Продажа изделий за час рабочего времени, шт. Продано товара всего, шт. В том числе
продавцами учениками продавцов
    -  
    -  
       
       
      -
      -
      -
Итого      

Определить общую дисперсию, групповую дисперсию, межгрупповую дисперсию, внутригрупповую дисперсию и коэффициент детерминации.

 

 

 

 

 

 

 

Вывод: Коэффициент детерминации показывает, что фактор квалификации работников имеет существенное значение в вариации признака, так как доля межгрупповой дисперсии составляет 5% общей дисперсии. Остальная часть вариации обусловлена влиянием других факторов.

 




Поделиться с друзьями:


Дата добавления: 2014-01-13; Просмотров: 3112; Нарушение авторских прав?; Мы поможем в написании вашей работы!


Нам важно ваше мнение! Был ли полезен опубликованный материал? Да | Нет



studopedia.su - Студопедия (2013 - 2026) год. Все материалы представленные на сайте исключительно с целью ознакомления читателями и не преследуют коммерческих целей или нарушение авторских прав! Последнее добавление




Генерация страницы за: 0.01 сек.